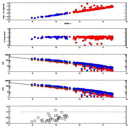
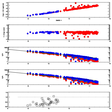
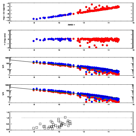
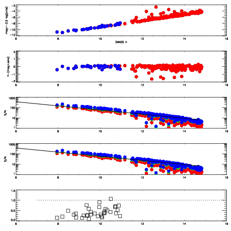
Frame | Nreads | Zeropoints | Mag plots
| Spatial mag deviation
| Spatial sky 16325A emission deviations (filled: sky, open: star)
| Spatial sky continuum emission
| Spatial sky telluric CO2 absorption deviations (filled: H < 10)
|
15820015
| 47
| | Red | Green | Blue
| z | | 19.13
| znorm | | 14.95
| sky | 14.5 | 14.3 | 14.5
| S/N | 17.1 | 28.0 | 29.8
| S/N(c) | 20.1 | 52.4 | 53.1
| SN(E/C) | 0.41
|
|
|
|
|
|
|
15820016
| 47
| | Red | Green | Blue
| z | | 19.12
| znorm | | 14.94
| sky | 14.5 | 14.5 | 14.5
| S/N | 16.9 | 27.8 | 29.6
| S/N(c) | 20.2 | 52.7 | 53.4
| SN(E/C) | 0.41
|
|
|
|
|
|
|
15820017
| 47
| | Red | Green | Blue
| z | | 19.14
| znorm | | 14.96
| sky | 14.7 | 14.6 | 14.5
| S/N | 17.0 | 27.8 | 29.4
| S/N(c) | 20.3 | 52.7 | 53.6
| SN(E/C) | 0.40
|
|
|
|
|
|
|
15820018
| 47
| | Red | Green | Blue
| z | | 19.11
| znorm | | 14.93
| sky | 14.6 | 14.6 | 14.7
| S/N | 16.5 | 27.1 | 28.8
| S/N(c) | 20.2 | 51.7 | 52.1
| SN(E/C) | 0.43
|
|
|
|
|
|
|
15820019
| 47
| | Red | Green | Blue
| z | | 19.10
| znorm | | 14.92
| sky | 14.8 | 14.6 | 14.6
| S/N | 16.6 | 27.1 | 29.0
| S/N(c) | 20.0 | 51.9 | 51.5
| SN(E/C) | 0.41
|
|
|
|
|
|
|
15820020
| 47
| | Red | Green | Blue
| z | | 19.16
| znorm | | 14.98
| sky | 14.6 | 14.6 | 14.6
| S/N | 17.1 | 28.2 | 30.0
| S/N(c) | 20.1 | 53.4 | 54.2
| SN(E/C) | 0.41
|
|
|
|
|
|
|
15820021
| 47
| | Red | Green | Blue
| z | | 19.14
| znorm | | 14.96
| sky | 14.7 | 14.6 | 14.6
| S/N | 16.8 | 27.5 | 29.2
| S/N(c) | 19.7 | 52.3 | 52.9
| SN(E/C) | 0.36
|
|
|
|
|
|
|
15820022
| 47
| | Red | Green | Blue
| z | | 19.05
| znorm | | 14.87
| sky | 14.5 | 14.4 | 14.3
| S/N | 15.6 | 26.1 | 27.4
| S/N(c) | 19.4 | 50.6 | 50.8
| SN(E/C) | 0.43
|
|
|
|
|
|
|