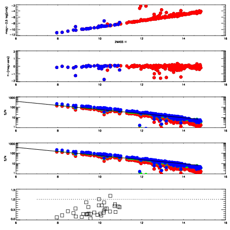
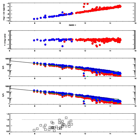
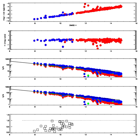
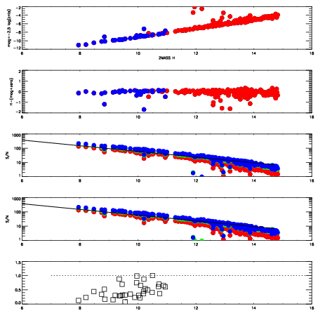
Left plots: red are targets, blue are telluric. Observed mags are calculated from median value of green chip. Zeropoint gives overall throughput: bigger number is more throughput.
First spatial plots: circles are objects, squares are tellurics, crosses are sky fibers. Colors give deviation of observed mag from expected 2MASS mag using the median zeropoint; red is brighter
Second spatial plots: circles are sky fibers. Colors give sky line brightness relative to plate median sky line brightness
FrameNreadsZeropointsMag plots Spatial mag deviation Spatial sky 16325A emission deviations (filled: sky, open: star) Spatial sky continuum emission Spatial sky telluric CO2 absorption deviations (filled: H < 10)
15820026 47
RedGreenBlue
z19.09
znorm14.91
sky 14.6 14.4 14.7
S/N 15.1 24.9 27.2
S/N(c) 32.9 19.9 18.7
SN(E/C) 0.41
15820027 47
RedGreenBlue
z19.15
znorm14.97
sky 14.7 14.5 14.7
S/N 15.6 25.6 28.1
S/N(c) 33.1 20.5 19.0
SN(E/C) 0.40
15820028 47
RedGreenBlue
z18.81
znorm14.63
sky 14.7 14.7 14.7
S/N 12.4 21.4 23.2
S/N(c) 27.5 17.1 16.2
SN(E/C) 0.48
15820029 47
RedGreenBlue
z18.75
znorm14.57
sky 14.7 14.7 14.8
S/N 12.1 20.9 22.3
S/N(c) 26.2 16.8 15.4
SN(E/C) 0.47