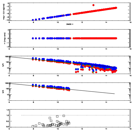
Left plots: red are targets, blue are telluric. Observed mags are calculated from median value of green chip. Zeropoint gives overall throughput: bigger number is more throughput.
First spatial plots: circles are objects, squares are tellurics, crosses are sky fibers. Colors give deviation of observed mag from expected 2MASS mag using the median zeropoint; red is brighter
Second spatial plots: circles are sky fibers. Colors give sky line brightness relative to plate median sky line brightness
FrameNreadsZeropointsMag plots Spatial mag deviation Spatial sky 16325A emission deviations (filled: sky, open: star) Spatial sky continuum emission Spatial sky telluric CO2 absorption deviations (filled: H < 10)
0 0
RedGreenBlue
z17.64
znorm Inf
sky -Inf -Inf -NaN
S/N 25.6 47.0 53.5
S/N(c) 39.8 79.0127.9
SN(E/C) 0.25

IPAIRNAMESHIFTNEWSHIFTS/N NAMESHIFTNEWSHIFTS/N
0 18270042 1.05069e-05 0.00000 19.1737 18270045 -0.505523 0.505534 19.2026
1 18270043 -2.01337e-05 3.06406e-05 19.1648 18270040 -0.504461 0.504471 19.1735
2 18270039 0.00000 1.05069e-05 19.1638 18270041 -0.504571 0.504582 19.1717
3 18270046 -0.000225444 0.000235951 19.1568 18270044 -0.505601 0.505611 19.1556