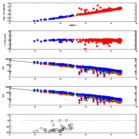
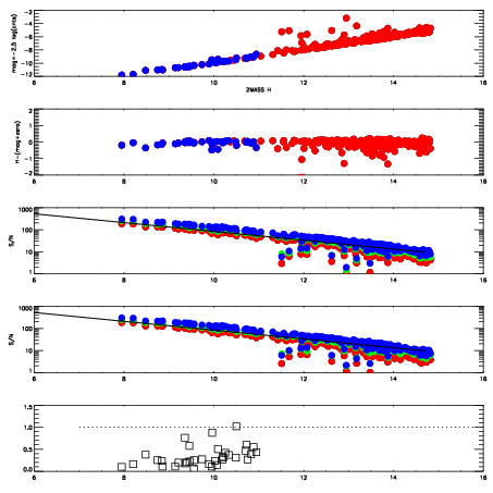
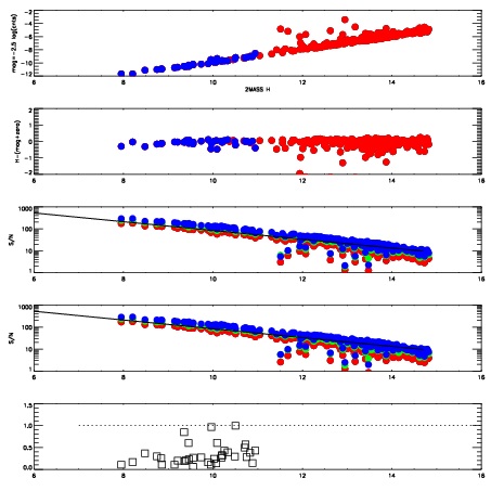
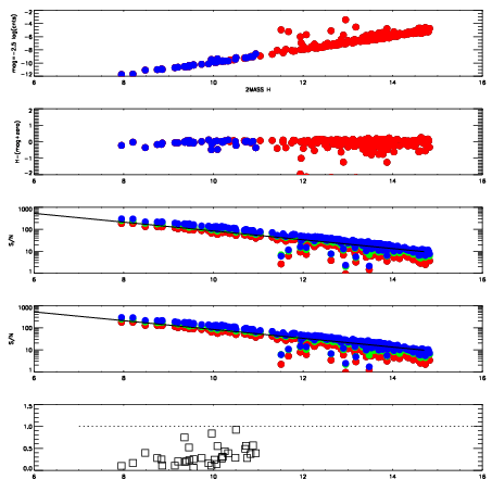
Left plots: red are targets, blue are telluric. Observed mags are calculated from median value of green chip. Zeropoint gives overall throughput: bigger number is more throughput.
First spatial plots: circles are objects, squares are tellurics, crosses are sky fibers. Colors give deviation of observed mag from expected 2MASS mag using the median zeropoint; red is brighter
Second spatial plots: circles are sky fibers. Colors give sky line brightness relative to plate median sky line brightness
FrameNreadsZeropointsMag plots Spatial mag deviation Spatial sky 16325A emission deviations (filled: sky, open: star) Spatial sky continuum emission Spatial sky telluric CO2 absorption deviations (filled: H < 10)
18480071 94
RedGreenBlue
z19.93
znorm15.00
sky 15.2 14.8 15.0
S/N 24.7 36.6 42.8
S/N(c) 54.2 42.7 70.4
SN(E/C) 0.27
18480072 94
RedGreenBlue
z19.90
znorm14.97
sky 15.1 14.9 15.0
S/N 24.6 36.1 42.8
S/N(c) 53.2 42.1 69.6
SN(E/C) 0.28
18480073 94
RedGreenBlue
z19.85
znorm14.92
sky 15.2 14.8 14.7
S/N 24.2 35.0 41.4
S/N(c) 52.6 41.1 68.2
SN(E/C) 0.28
18480074 94
RedGreenBlue
z19.90
znorm14.97
sky 15.0 14.8 14.6
S/N 24.5 34.9 41.2
S/N(c) 52.6 41.6 69.1
SN(E/C) 0.27