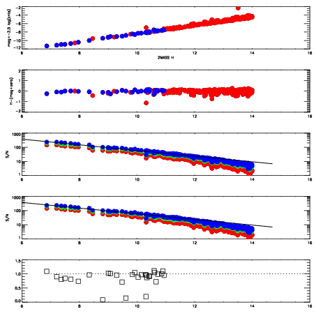
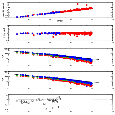
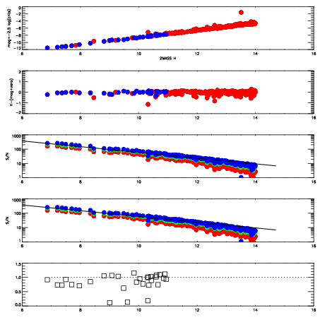
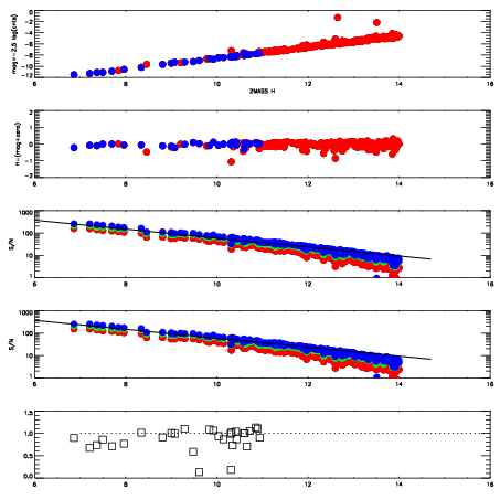
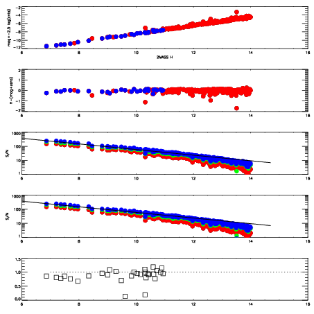
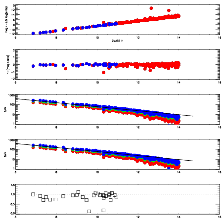
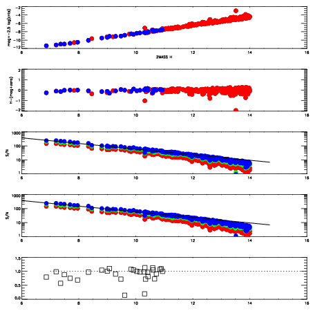
Frame | Nreads | Zeropoints | Mag plots
| Spatial mag deviation
| Spatial sky 16325A emission deviations (filled: sky, open: star)
| Spatial sky continuum emission
| Spatial sky telluric CO2 absorption deviations (filled: H < 10)
|
19070072
| 47
| | Red | Green | Blue
| z | | 18.45
| znorm | | 14.27
| sky | 14.6 | 14.4 | 14.6
| S/N | 10.2 | 17.4 | 21.7
| S/N(c) | 2.1 | 23.4 | 4.6
| SN(E/C) | 0.97
|
|
|
|
|
|
|
19070073
| 47
| | Red | Green | Blue
| z | | 18.41
| znorm | | 14.23
| sky | 14.5 | 14.3 | 14.6
| S/N | 9.7 | 16.9 | 20.4
| S/N(c) | 2.0 | 22.4 | 4.5
| SN(E/C) | 0.95
|
|
|
|
|
|
|
19070074
| 47
| | Red | Green | Blue
| z | | 18.49
| znorm | | 14.31
| sky | 14.9 | 14.7 | 14.6
| S/N | 10.4 | 18.3 | 21.0
| S/N(c) | 2.1 | 23.7 | 4.7
| SN(E/C) | 0.92
|
|
|
|
|
|
|
19070075
| 47
| | Red | Green | Blue
| z | | 18.57
| znorm | | 14.39
| sky | 15.1 | 14.8 | 15.0
| S/N | 11.2 | 19.7 | 22.9
| S/N(c) | 2.2 | 24.6 | 4.9
| SN(E/C) | 0.94
|
|
|
|
|
|
|
19070076
| 47
| | Red | Green | Blue
| z | | 18.49
| znorm | | 14.31
| sky | 14.9 | 14.8 | 15.0
| S/N | 10.5 | 18.6 | 21.7
| S/N(c) | 2.0 | 23.3 | 4.6
| SN(E/C) | 0.93
|
|
|
|
|
|
|
19070077
| 47
| | Red | Green | Blue
| z | | 18.62
| znorm | | 14.44
| sky | 14.7 | 14.6 | 14.9
| S/N | 11.8 | 20.0 | 24.0
| S/N(c) | 2.3 | 25.3 | 5.0
| SN(E/C) | 0.92
|
|
|
|
|
|
|
19070078
| 47
| | Red | Green | Blue
| z | | 18.53
| znorm | | 14.35
| sky | 14.3 | 14.3 | 14.2
| S/N | 10.3 | 18.9 | 21.2
| S/N(c) | 2.1 | 23.4 | 4.7
| SN(E/C) | 0.94
|
|
|
|
|
|
|
19070079
| 47
| | Red | Green | Blue
| z | | 18.55
| znorm | | 14.37
| sky | 11.9 | 12.0 | 11.9
| S/N | 7.6 | 13.1 | 15.7
| S/N(c) | 1.8 | 19.3 | 3.9
| SN(E/C) | 0.95
|
|
|
|
|
|
|