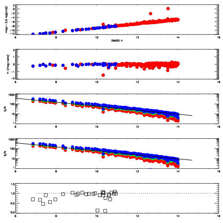
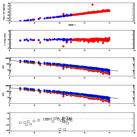
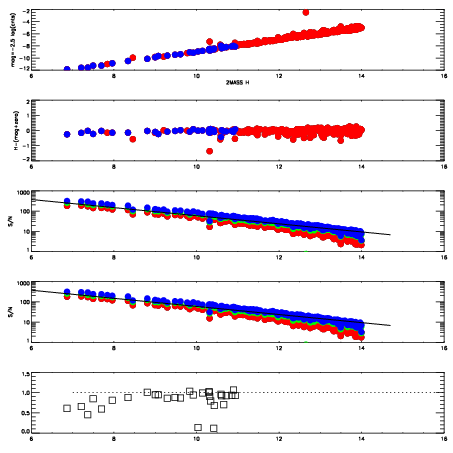
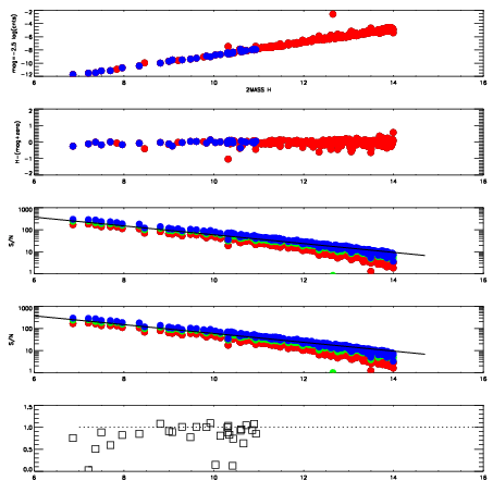
Left plots: red are targets, blue are telluric. Observed mags are calculated from median value of green chip. Zeropoint gives overall throughput: bigger number is more throughput.
First spatial plots: circles are objects, squares are tellurics, crosses are sky fibers. Colors give deviation of observed mag from expected 2MASS mag using the median zeropoint; red is brighter
Second spatial plots: circles are sky fibers. Colors give sky line brightness relative to plate median sky line brightness
FrameNreadsZeropointsMag plots Spatial mag deviation Spatial sky 16325A emission deviations (filled: sky, open: star) Spatial sky continuum emission Spatial sky telluric CO2 absorption deviations (filled: H < 10)
19920033 47
RedGreenBlue
z18.82
znorm14.64
sky 14.5 14.3 14.3
S/N 12.8 22.2 26.1
S/N(c) 18.0 25.7 4.8
SN(E/C) 0.88
19920034 47
RedGreenBlue
z18.98
znorm14.80
sky 14.7 14.5 14.4
S/N 14.9 24.0 28.4
S/N(c) 19.5 27.1 5.2
SN(E/C) 0.94
19920035 47
RedGreenBlue
z18.97
znorm14.79
sky 14.9 14.7 14.5
S/N 14.2 23.9 28.4
S/N(c) 19.2 26.7 5.1
SN(E/C) 0.90
19920036 47
RedGreenBlue
z19.00
znorm14.82
sky 14.7 14.6 14.7
S/N 14.6 24.4 29.3
S/N(c) 19.6 27.1 5.2
SN(E/C) 0.88
19920037 47
RedGreenBlue
z19.03
znorm14.85
sky 14.8 14.7 15.0
S/N 14.7 25.3 29.5
S/N(c) 20.0 27.8 5.3
SN(E/C) 0.91
19920038 47
RedGreenBlue
z19.04
znorm14.86
sky 15.2 14.9 14.9
S/N 14.9 25.2 29.8
S/N(c) 20.1 27.8 5.3
SN(E/C) 0.90