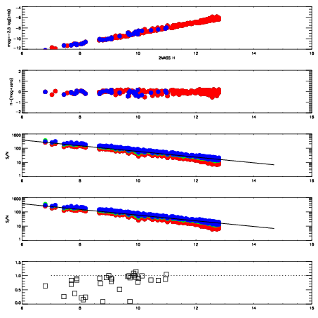
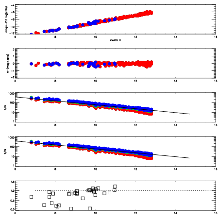
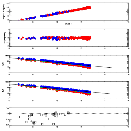
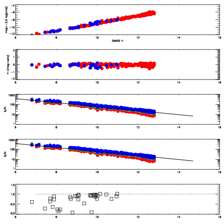
Frame | Nreads | Zeropoints | Mag plots
| Spatial mag deviation
| Spatial sky 16325A emission deviations (filled: sky, open: star)
| Spatial sky continuum emission
| Spatial sky telluric CO2 absorption deviations (filled: H < 10)
|
15910055
| 47
| | Red | Green | Blue
| z | | 19.06
| znorm | | 14.88
| sky | 14.9 | 14.3 | 14.6
| S/N | 15.8 | 26.3 | 27.6
| S/N(c) | 27.8 | 14.2 | 22.1
| SN(E/C) | 0.86
|
|
|
|
|
|
|
15910056
| 47
| | Red | Green | Blue
| z | | 18.95
| znorm | | 14.77
| sky | 14.6 | 14.6 | 14.8
| S/N | 14.8 | 25.5 | 26.6
| S/N(c) | 26.4 | 13.5 | 21.0
| SN(E/C) | 0.86
|
|
|
|
|
|
|
15910057
| 47
| | Red | Green | Blue
| z | | 18.93
| znorm | | 14.75
| sky | 14.7 | 14.7 | 14.8
| S/N | 15.3 | 25.7 | 26.7
| S/N(c) | 26.4 | 13.6 | 21.1
| SN(E/C) | 0.87
|
|
|
|
|
|
|
15910058
| 47
| | Red | Green | Blue
| z | | 19.03
| znorm | | 14.85
| sky | 14.8 | 14.7 | 14.8
| S/N | 15.7 | 26.6 | 28.0
| S/N(c) | 28.1 | 14.0 | 21.7
| SN(E/C) | 0.87
|
|
|
|
|
|
|
15910059
| 47
| | Red | Green | Blue
| z | | 19.03
| znorm | | 14.85
| sky | 14.8 | 14.7 | 15.0
| S/N | 15.9 | 26.8 | 28.1
| S/N(c) | 28.7 | 14.1 | 21.8
| SN(E/C) | 0.86
|
|
|
|
|
|
|
15910060
| 47
| | Red | Green | Blue
| z | | 19.00
| znorm | | 14.82
| sky | 14.7 | 14.7 | 14.9
| S/N | 15.7 | 26.3 | 27.3
| S/N(c) | 28.5 | 14.0 | 21.7
| SN(E/C) | 0.87
|
|
|
|
|
|
|
15910061
| 47
| | Red | Green | Blue
| z | | 18.97
| znorm | | 14.79
| sky | 15.2 | 14.8 | 15.0
| S/N | 16.0 | 26.6 | 27.6
| S/N(c) | 27.9 | 13.6 | 21.1
| SN(E/C) | 0.86
|
|
|
|
|
|
|
15910062
| 47
| | Red | Green | Blue
| z | | 18.97
| znorm | | 14.79
| sky | 15.0 | 14.8 | 15.0
| S/N | 15.3 | 26.0 | 27.1
| S/N(c) | 28.5 | 13.8 | 21.2
| SN(E/C) | 0.88
|
|
|
|
|
|
|