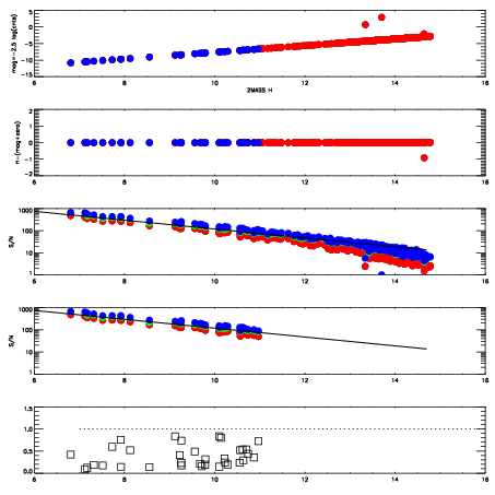
Left plots: red are targets, blue are telluric. Observed mags are calculated from median value of green chip. Zeropoint gives overall throughput: bigger number is more throughput.
First spatial plots: circles are objects, squares are tellurics, crosses are sky fibers. Colors give deviation of observed mag from expected 2MASS mag using the median zeropoint; red is brighter
Second spatial plots: circles are sky fibers. Colors give sky line brightness relative to plate median sky line brightness
FrameNreadsZeropointsMag plots Spatial mag deviation Spatial sky 16325A emission deviations (filled: sky, open: star) Spatial sky continuum emission Spatial sky telluric CO2 absorption deviations (filled: H < 10)
0 0
RedGreenBlue
z17.64
znorm Inf
sky -Inf -NaN -NaN
S/N 23.0 42.5 49.2
S/N(c) 7.7 78.0 10.7
SN(E/C) 0.33

IPAIRNAMESHIFTNEWSHIFTS/N NAMESHIFTNEWSHIFTS/N
0 15610038 0.00302684 0.00000 19.0535 15610036 -0.488534 0.491561 19.0558
1 15610035 0.00195898 0.00106786 19.0399 15610037 -0.488120 0.491147 19.0389
2 15610034 0.00148779 0.00153905 19.0314 15610032 -0.489249 0.492276 18.9929
3 15610031 0.00000 0.00302684 18.9445 15610033 -0.489469 0.492496 18.9924