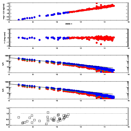
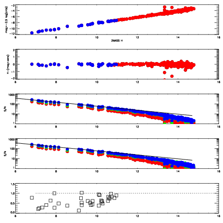
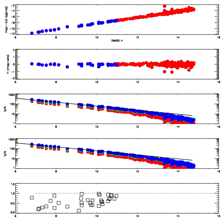
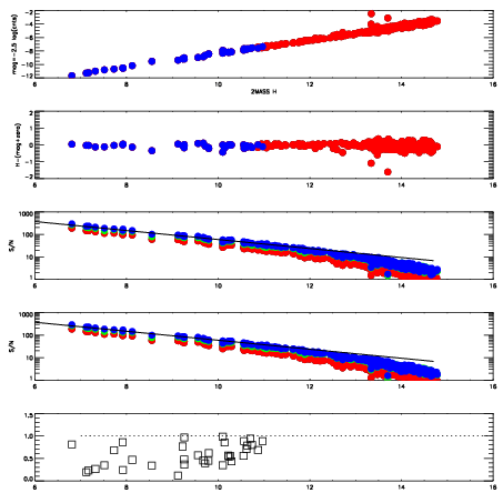
Left plots: red are targets, blue are telluric. Observed mags are calculated from median value of green chip. Zeropoint gives overall throughput: bigger number is more throughput.
First spatial plots: circles are objects, squares are tellurics, crosses are sky fibers. Colors give deviation of observed mag from expected 2MASS mag using the median zeropoint; red is brighter
Second spatial plots: circles are sky fibers. Colors give sky line brightness relative to plate median sky line brightness
FrameNreadsZeropointsMag plots Spatial mag deviation Spatial sky 16325A emission deviations (filled: sky, open: star) Spatial sky continuum emission Spatial sky telluric CO2 absorption deviations (filled: H < 10)
16130029 47
RedGreenBlue
z18.32
znorm14.14
sky 14.4 14.2 14.3
S/N 9.2 17.2 18.5
S/N(c) 18.0 21.1 31.9
SN(E/C) 0.60
16130030 47
RedGreenBlue
z18.24
znorm14.06
sky 14.3 14.3 14.3
S/N 8.7 15.9 17.2
S/N(c) 16.6 19.9 29.8
SN(E/C) 0.61
16130031 47
RedGreenBlue
z18.50
znorm14.32
sky 14.2 14.2 14.4
S/N 10.4 19.0 20.7
S/N(c) 19.3 22.5 33.0
SN(E/C) 0.55
16130032 47
RedGreenBlue
z18.43
znorm14.25
sky 14.3 14.2 14.3
S/N 9.7 18.0 19.5
S/N(c) 18.6 21.7 32.4
SN(E/C) 0.56