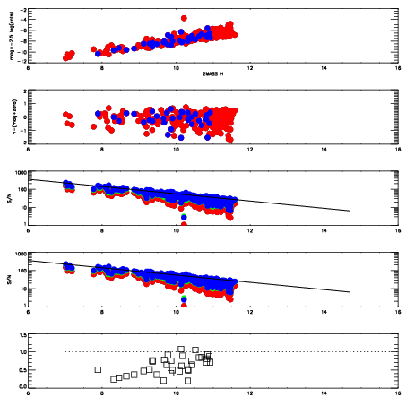
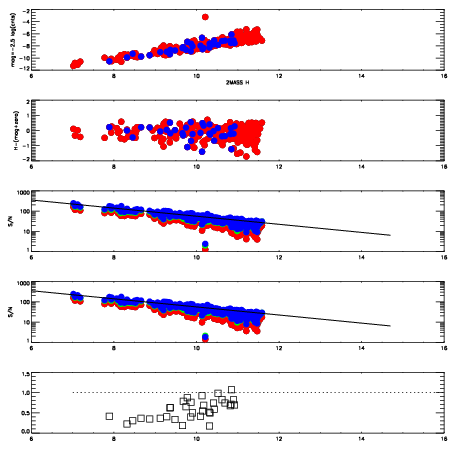
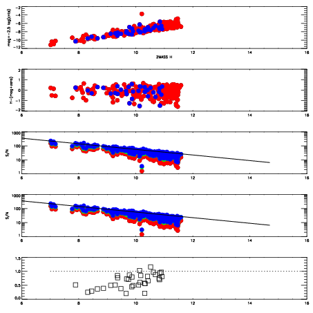
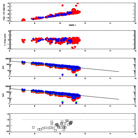
Frame | Nreads | Zeropoints | Mag plots
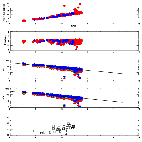
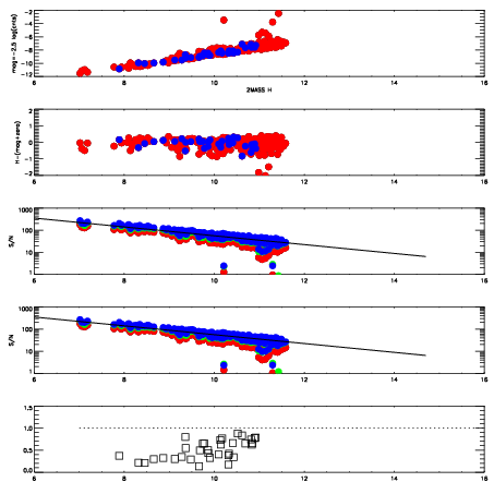
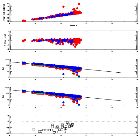
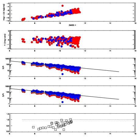
| Spatial mag deviation
| Spatial sky 16325A emission deviations (filled: sky, open: star)
| Spatial sky continuum emission
| Spatial sky telluric CO2 absorption deviations (filled: H < 10)
|
15690025
| 42
| | Red | Green | Blue
| z | | 17.68
| znorm | | 13.62
| sky | 14.8 | 14.9 | 14.9
| S/N | 8.2 | 14.5 | 15.0
| S/N(c) | 10.1 | 11.5 | 12.2
| SN(E/C) | 0.69
|
|
|
|
|
|
|
15690026
| 42
| | Red | Green | Blue
| z | | 17.68
| znorm | | 13.62
| sky | 15.1 | 15.1 | 15.2
| S/N | 8.1 | 14.6 | 15.1
| S/N(c) | 9.8 | 11.4 | 11.9
| SN(E/C) | 0.74
|
|
|
|
|
|
|
15690027
| 42
| | Red | Green | Blue
| z | | 18.18
| znorm | | 14.12
| sky | 15.5 | 15.2 | 15.0
| S/N | 9.9 | 17.1 | 18.1
| S/N(c) | 14.2 | 15.5 | 16.0
| SN(E/C) | 0.61
|
|
|
|
|
|
|
15690028
| 42
| | Red | Green | Blue
| z | | 18.21
| znorm | | 14.15
| sky | 14.7 | 15.1 | 15.2
| S/N | 10.2 | 18.0 | 19.3
| S/N(c) | 13.8 | 15.3 | 15.9
| SN(E/C) | 0.60
|
|
|
|
|
|
|
15690029
| 42
| | Red | Green | Blue
| z | | 18.68
| znorm | | 14.62
| sky | 15.0 | 15.0 | 14.8
| S/N | 13.5 | 22.0 | 24.4
| S/N(c) | 18.1 | 18.7 | 19.6
| SN(E/C) | 0.49
|
|
|
|
|
|
|
15690030
| 42
| | Red | Green | Blue
| z | | 18.69
| znorm | | 14.63
| sky | 14.8 | 14.9 | 14.9
| S/N | 13.5 | 22.1 | 24.2
| S/N(c) | 18.2 | 18.7 | 19.5
| SN(E/C) | 0.49
|
|
|
|
|
|
|
15690031
| 42
| | Red | Green | Blue
| z | | 17.93
| znorm | | 13.87
| sky | 15.2 | 15.3 | 15.1
| S/N | 8.6 | 15.9 | 16.5
| S/N(c) | 11.4 | 12.8 | 12.9
| SN(E/C) | 0.70
|
|
|
|
|
|
|
15690032
| 42
| | Red | Green | Blue
| z | | 17.98
| znorm | | 13.92
| sky | 15.2 | 15.2 | 15.1
| S/N | 9.0 | 16.1 | 17.1
| S/N(c) | 11.5 | 13.2 | 13.3
| SN(E/C) | 0.64
|
|
|
|
|
|
|
15690033
| 42
| | Red | Green | Blue
| z | | 18.31
| znorm | | 14.25
| sky | 15.1 | 15.2 | 15.2
| S/N | 10.9 | 18.2 | 20.4
| S/N(c) | 14.7 | 16.2 | 16.5
| SN(E/C) | 0.62
|
|
|
|
|
|
|
15690034
| 42
| | Red | Green | Blue
| z | | 18.36
| znorm | | 14.30
| sky | 14.8 | 15.3 | 15.2
| S/N | 11.2 | 18.9 | 21.2
| S/N(c) | 15.2 | 16.7 | 17.0
| SN(E/C) | 0.59
|
|
|
|
|
|
|
15690035
| 42
| | Red | Green | Blue
| z | | 18.65
| znorm | | 14.59
| sky | 14.8 | 15.0 | 15.0
| S/N | 12.7 | 21.7 | 23.3
| S/N(c) | 17.8 | 18.4 | 19.0
| SN(E/C) | 0.49
|
|
|
|
|
|
|
15690036
| 42
| | Red | Green | Blue
| z | | 18.66
| znorm | | 14.60
| sky | 15.2 | 15.0 | 15.0
| S/N | 12.6 | 21.5 | 22.8
| S/N(c) | 17.8 | 18.4 | 19.0
| SN(E/C) | 0.53
|
|
|
|
|
|
|
15690037
| 42
| | Red | Green | Blue
| z | | 18.17
| znorm | | 14.11
| sky | 15.2 | 15.7 | 15.2
| S/N | 10.2 | 17.8 | 19.1
| S/N(c) | 12.8 | 14.2 | 14.3
| SN(E/C) | 0.60
|
|
|
|
|
|
|
15690038
| 42
| | Red | Green | Blue
| z | | 18.20
| znorm | | 14.14
| sky | 15.0 | 15.2 | 15.5
| S/N | 10.1 | 18.4 | 19.1
| S/N(c) | 13.2 | 14.4 | 14.8
| SN(E/C) | 0.62
|
|
|
|
|
|
|
15690039
| 42
| | Red | Green | Blue
| z | | 18.53
| znorm | | 14.47
| sky | 15.1 | 15.0 | 15.2
| S/N | 12.1 | 20.9 | 23.1
| S/N(c) | 16.3 | 17.5 | 18.3
| SN(E/C) | 0.54
|
|
|
|
|
|
|
15690040
| 42
| | Red | Green | Blue
| z | | 18.61
| znorm | | 14.56
| sky | 15.0 | 15.1 | 15.0
| S/N | 12.9 | 21.5 | 23.9
| S/N(c) | 17.3 | 18.1 | 19.0
| SN(E/C) | 0.54
|
|
|
|
|
|
|
15690041
| 42
| | Red | Green | Blue
| z | | 18.57
| znorm | | 14.51
| sky | 15.0 | 14.9 | 15.2
| S/N | 11.4 | 19.5 | 21.0
| S/N(c) | 16.7 | 17.7 | 18.5
| SN(E/C) | 0.50
|
|
|
|
|
|
|
15690042
| 42
| | Red | Green | Blue
| z | | 18.51
| znorm | | 14.45
| sky | 15.3 | 15.1 | 15.1
| S/N | 10.8 | 19.2 | 20.4
| S/N(c) | 16.2 | 17.5 | 18.0
| SN(E/C) | 0.54
|
|
|
|
|
|
|