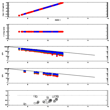
Left plots: red are targets, blue are telluric. Observed mags are calculated from median value of green chip. Zeropoint gives overall throughput: bigger number is more throughput.
First spatial plots: circles are objects, squares are tellurics, crosses are sky fibers. Colors give deviation of observed mag from expected 2MASS mag using the median zeropoint; red is brighter
Second spatial plots: circles are sky fibers. Colors give sky line brightness relative to plate median sky line brightness
FrameNreadsZeropointsMag plots Spatial mag deviation Spatial sky 16325A emission deviations (filled: sky, open: star) Spatial sky continuum emission Spatial sky telluric CO2 absorption deviations (filled: H < 10)
0 0
RedGreenBlue
z17.64
znorm Inf
sky -Inf -Inf -NaN
S/N 15.3 27.3 30.2
S/N(c) 0.0 0.0 0.0
SN(E/C) 0.48

IPAIRNAMESHIFTNEWSHIFTS/N NAMESHIFTNEWSHIFTS/N
0 15970038 0.00246731 0.00000 14.8135 15970032 -0.488929 0.491396 16.5251
1 15970026 0.00000 0.00246731 18.3372 15970027 -0.487556 0.490023 18.3572
2 15970033 0.000734926 0.00173238 18.0178 15970028 -0.487412 0.489879 18.1153
3 15970029 0.00136200 0.00110531 17.7624 15970036 -0.489003 0.491470 16.8117
4 15970034 0.00110283 0.00136448 17.6657 15970031 -0.488512 0.490979 16.6845
5 15970030 0.00197469 0.000492620 16.2879 15970039 -0.485580 0.488047 16.5501