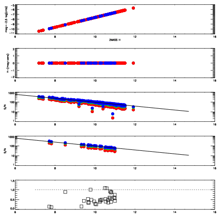
Left plots: red are targets, blue are telluric. Observed mags are calculated from median value of green chip. Zeropoint gives overall throughput: bigger number is more throughput.
First spatial plots: circles are objects, squares are tellurics, crosses are sky fibers. Colors give deviation of observed mag from expected 2MASS mag using the median zeropoint; red is brighter
Second spatial plots: circles are sky fibers. Colors give sky line brightness relative to plate median sky line brightness
FrameNreadsZeropointsMag plots Spatial mag deviation Spatial sky 16325A emission deviations (filled: sky, open: star) Spatial sky continuum emission Spatial sky telluric CO2 absorption deviations (filled: H < 10)
0 0
RedGreenBlue
z17.64
znorm Inf
sky -Inf -Inf -Inf
S/N 14.4 24.2 28.7
S/N(c) 0.0 0.0 0.0
SN(E/C) 0.49

IPAIRNAMESHIFTNEWSHIFTS/N NAMESHIFTNEWSHIFTS/N
0 15480072 0.493385 0.00000 18.1199 15480073 0.000750446 0.492635 18.1819
1 15480075 0.492620 0.000764996 18.5545 15480074 -2.22108e-05 0.493407 18.5790
2 15480071 0.492641 0.000743985 18.2252 15480070 0.00000 0.493385 18.3034