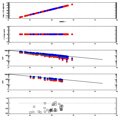
Left plots: red are targets, blue are telluric. Observed mags are calculated from median value of green chip. Zeropoint gives overall throughput: bigger number is more throughput.
First spatial plots: circles are objects, squares are tellurics, crosses are sky fibers. Colors give deviation of observed mag from expected 2MASS mag using the median zeropoint; red is brighter
Second spatial plots: circles are sky fibers. Colors give sky line brightness relative to plate median sky line brightness
FrameNreadsZeropointsMag plots Spatial mag deviation Spatial sky 16325A emission deviations (filled: sky, open: star) Spatial sky continuum emission Spatial sky telluric CO2 absorption deviations (filled: H < 10)
0 0
RedGreenBlue
z17.64
znorm Inf
sky -Inf -Inf -Inf
S/N 12.3 26.0 25.7
S/N(c) 0.0 0.0 0.0
SN(E/C) 0.41

IPAIRNAMESHIFTNEWSHIFTS/N NAMESHIFTNEWSHIFTS/N
0 15730093 0.00129627 0.00000 17.9721 15730094 -0.486761 0.488057 17.9710
1 15730089 -0.000363439 0.00165971 18.3220 15730095 -0.485544 0.486840 18.2962
2 15730092 0.000775680 0.000520590 18.3095 15730090 -0.485807 0.487103 18.2567
3 15730096 -0.000603120 0.00189939 18.1038 15730091 -0.485889 0.487185 18.1257
4 15730088 0.000131194 0.00116508 18.0467 15730086 -0.487177 0.488473 18.0770
5 15730085 0.00000 0.00129627 18.0314 15730087 -0.487073 0.488369 18.0437
6 15730097 0.00105996 0.000236310 17.6926 15730098 -0.484500 0.485796 17.8897