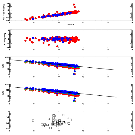
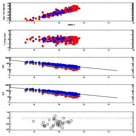
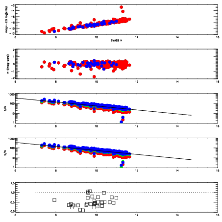
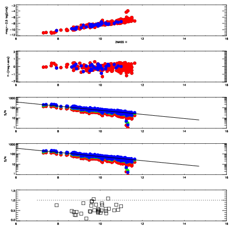
Left plots: red are targets, blue are telluric. Observed mags are calculated from median value of green chip. Zeropoint gives overall throughput: bigger number is more throughput.
First spatial plots: circles are objects, squares are tellurics, crosses are sky fibers. Colors give deviation of observed mag from expected 2MASS mag using the median zeropoint; red is brighter
Second spatial plots: circles are sky fibers. Colors give sky line brightness relative to plate median sky line brightness
FrameNreadsZeropointsMag plots Spatial mag deviation Spatial sky 16325A emission deviations (filled: sky, open: star) Spatial sky continuum emission Spatial sky telluric CO2 absorption deviations (filled: H < 10)
15910046 42
RedGreenBlue
z18.29
znorm14.23
sky 14.7 14.5 14.7
S/N 9.6 16.9 18.6
S/N(c) 15.3 16.2 17.6
SN(E/C) 0.58
15910047 42
RedGreenBlue
z18.29
znorm14.24
sky 14.9 14.7 14.9
S/N 9.6 17.0 18.4
S/N(c) 15.4 16.3 17.8
SN(E/C) 0.56
15910048 42
RedGreenBlue
z18.32
znorm14.27
sky 14.8 14.9 15.0
S/N 10.5 18.7 19.6
S/N(c) 16.6 17.4 19.4
SN(E/C) 0.57
15910049 42
RedGreenBlue
z18.42
znorm14.36
sky 14.8 14.7 15.0
S/N 11.5 19.8 21.0
S/N(c) 17.3 18.3 20.4
SN(E/C) 0.52
15910050 42
RedGreenBlue
z18.68
znorm14.62
sky 14.8 15.1 14.9
S/N 14.6 24.2 25.9
S/N(c) 19.5 19.9 21.9
SN(E/C) 0.47
15910051 42
RedGreenBlue
z18.60
znorm14.54
sky 15.0 14.9 15.0
S/N 13.7 22.9 24.8
S/N(c) 18.9 19.2 21.2
SN(E/C) 0.50