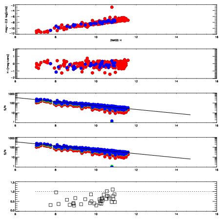
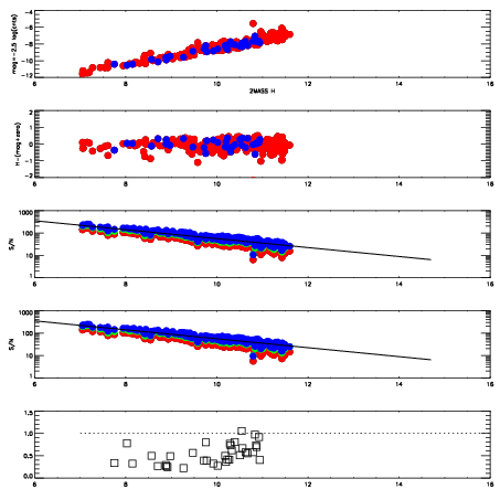
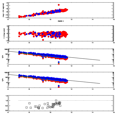
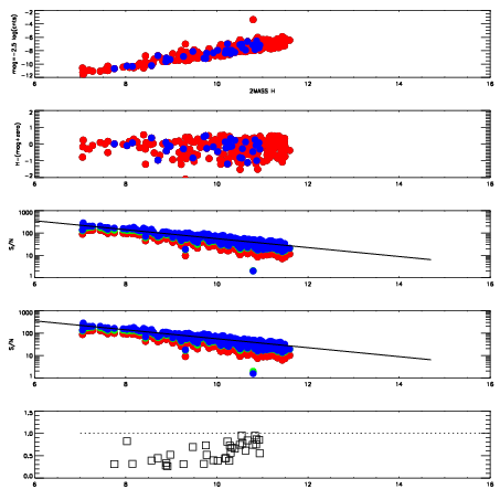
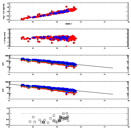
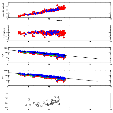
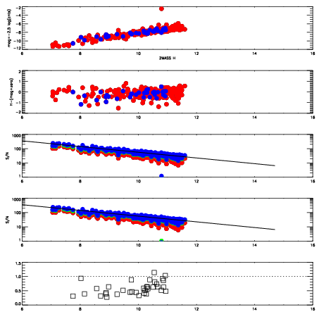
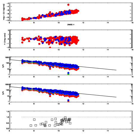
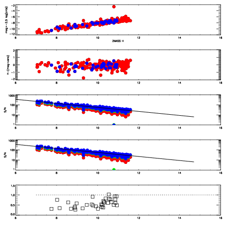
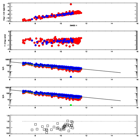
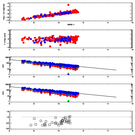
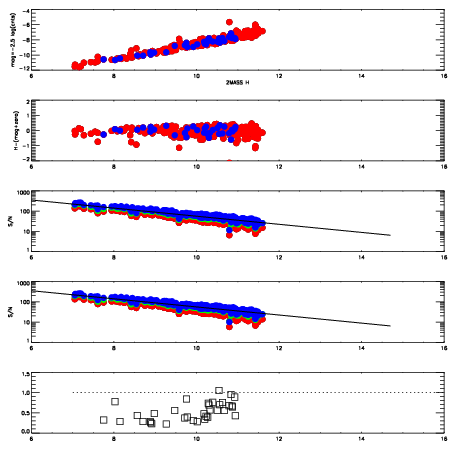
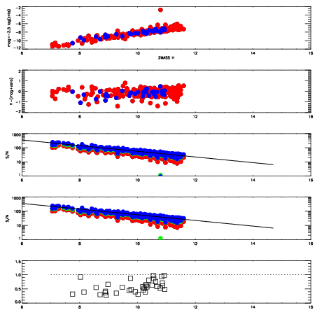
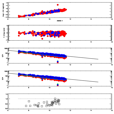
Frame | Nreads | Zeropoints | Mag plots
| Spatial mag deviation
| Spatial sky 16325A emission deviations (filled: sky, open: star)
| Spatial sky continuum emission
| Spatial sky telluric CO2 absorption deviations (filled: H < 10)
|
15680053
| 42
| | Red | Green | Blue
| z | | 18.51
| znorm | | 14.46
| sky | 14.9 | 14.6 | 14.6
| S/N | 11.1 | 19.1 | 20.3
| S/N(c) | 19.1 | 20.3 | 10.2
| SN(E/C) | 0.47
|
|
|
|
|
|
|
15680054
| 42
| | Red | Green | Blue
| z | | 18.52
| znorm | | 14.46
| sky | 14.9 | 14.6 | 14.8
| S/N | 11.0 | 19.1 | 19.7
| S/N(c) | 19.2 | 20.4 | 10.3
| SN(E/C) | 0.50
|
|
|
|
|
|
|
15680055
| 42
| | Red | Green | Blue
| z | | 18.24
| znorm | | 14.18
| sky | 14.9 | 14.9 | 15.0
| S/N | 11.3 | 19.8 | 22.4
| S/N(c) | 15.3 | 17.2 | 8.6
| SN(E/C) | 0.58
|
|
|
|
|
|
|
15680056
| 42
| | Red | Green | Blue
| z | | 18.32
| znorm | | 14.26
| sky | 14.9 | 14.7 | 14.8
| S/N | 11.4 | 20.1 | 22.8
| S/N(c) | 16.1 | 17.9 | 8.9
| SN(E/C) | 0.53
|
|
|
|
|
|
|
15680057
| 42
| | Red | Green | Blue
| z | | 18.56
| znorm | | 14.50
| sky | 15.2 | 14.8 | 14.9
| S/N | 11.0 | 19.7 | 20.7
| S/N(c) | 18.0 | 19.7 | 9.7
| SN(E/C) | 0.54
|
|
|
|
|
|
|
15680058
| 42
| | Red | Green | Blue
| z | | 18.54
| znorm | | 14.49
| sky | 15.1 | 14.9 | 15.0
| S/N | 10.7 | 18.8 | 19.9
| S/N(c) | 17.7 | 19.5 | 9.7
| SN(E/C) | 0.52
|
|
|
|
|
|
|
15680059
| 42
| | Red | Green | Blue
| z | | 18.59
| znorm | | 14.53
| sky | 14.8 | 14.8 | 15.0
| S/N | 11.3 | 19.4 | 20.4
| S/N(c) | 19.9 | 21.0 | 10.7
| SN(E/C) | 0.48
|
|
|
|
|
|
|
15680060
| 42
| | Red | Green | Blue
| z | | 18.63
| znorm | | 14.57
| sky | 14.7 | 14.8 | 14.9
| S/N | 11.6 | 19.5 | 20.5
| S/N(c) | 20.4 | 21.4 | 10.8
| SN(E/C) | 0.47
|
|
|
|
|
|
|
15680061
| 42
| | Red | Green | Blue
| z | | 18.35
| znorm | | 14.29
| sky | 15.0 | 15.0 | 15.0
| S/N | 12.0 | 20.8 | 23.0
| S/N(c) | 16.2 | 18.1 | 8.8
| SN(E/C) | 0.57
|
|
|
|
|
|
|
15680062
| 42
| | Red | Green | Blue
| z | | 18.38
| znorm | | 14.32
| sky | 14.8 | 14.8 | 14.8
| S/N | 12.4 | 21.4 | 23.5
| S/N(c) | 16.4 | 18.4 | 8.9
| SN(E/C) | 0.56
|
|
|
|
|
|
|
15680063
| 42
| | Red | Green | Blue
| z | | 18.41
| znorm | | 14.35
| sky | 15.0 | 14.9 | 14.9
| S/N | 9.1 | 16.4 | 18.8
| S/N(c) | 16.4 | 18.1 | 9.0
| SN(E/C) | 0.60
|
|
|
|
|
|
|
15680064
| 42
| | Red | Green | Blue
| z | | 18.42
| znorm | | 14.36
| sky | 14.9 | 14.8 | 15.0
| S/N | 8.9 | 16.4 | 18.8
| S/N(c) | 16.4 | 18.1 | 9.0
| SN(E/C) | 0.57
|
|
|
|
|
|
|
15680065
| 42
| | Red | Green | Blue
| z | | 18.46
| znorm | | 14.40
| sky | 14.8 | 15.2 | 14.8
| S/N | 12.9 | 21.6 | 24.2
| S/N(c) | 17.6 | 19.2 | 9.4
| SN(E/C) | 0.54
|
|
|
|
|
|
|
15680066
| 42
| | Red | Green | Blue
| z | | 18.43
| znorm | | 14.37
| sky | 15.1 | 15.1 | 15.0
| S/N | 13.0 | 21.3 | 24.1
| S/N(c) | 17.3 | 19.1 | 9.3
| SN(E/C) | 0.58
|
|
|
|
|
|
|