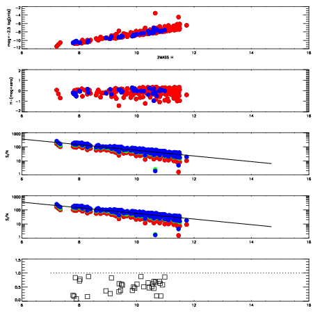
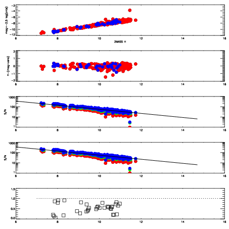
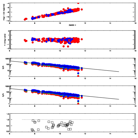
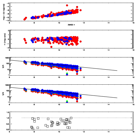
Frame | Nreads | Zeropoints | Mag plots
| Spatial mag deviation
| Spatial sky 16325A emission deviations (filled: sky, open: star)
| Spatial sky continuum emission
| Spatial sky telluric CO2 absorption deviations (filled: H < 10)
|
15690046
| 42
| | Red | Green | Blue
| z | | 18.29
| znorm | | 14.23
| sky | 15.1 | 14.8 | 14.8
| S/N | 11.9 | 20.3 | 21.2
| S/N(c) | 16.4 | 19.7 | 9.7
| SN(E/C) | 0.58
|
|
|
|
|
|
|
15690047
| 42
| | Red | Green | Blue
| z | | 18.27
| znorm | | 14.21
| sky | 15.4 | 14.8 | 15.0
| S/N | 11.5 | 19.6 | 20.4
| S/N(c) | 16.0 | 19.4 | 9.5
| SN(E/C) | 0.59
|
|
|
|
|
|
|
15690048
| 42
| | Red | Green | Blue
| z | | 18.41
| znorm | | 14.36
| sky | 15.1 | 14.9 | 15.0
| S/N | 11.4 | 19.5 | 20.4
| S/N(c) | 16.8 | 20.1 | 10.0
| SN(E/C) | 0.59
|
|
|
|
|
|
|
15690049
| 42
| | Red | Green | Blue
| z | | 18.41
| znorm | | 14.35
| sky | 14.8 | 14.8 | 14.9
| S/N | 11.0 | 19.2 | 19.8
| S/N(c) | 16.6 | 19.9 | 10.1
| SN(E/C) | 0.59
|
|
|
|
|
|
|
15690050
| 42
| | Red | Green | Blue
| z | | 18.57
| znorm | | 14.51
| sky | 14.9 | 14.8 | 14.9
| S/N | 8.3 | 15.1 | 15.4
| S/N(c) | 18.0 | 21.6 | 10.7
| SN(E/C) | 0.57
|
|
|
|
|
|
|
15690051
| 42
| | Red | Green | Blue
| z | | 18.53
| znorm | | 14.47
| sky | 15.1 | 14.8 | 14.9
| S/N | 7.3 | 14.2 | 14.3
| S/N(c) | 17.8 | 21.0 | 10.5
| SN(E/C) | 0.53
|
|
|
|
|
|
|
15690052
| 42
| | Red | Green | Blue
| z | | 18.43
| znorm | | 14.38
| sky | 15.1 | 15.0 | 14.8
| S/N | 12.1 | 20.4 | 21.3
| S/N(c) | 18.0 | 21.2 | 10.4
| SN(E/C) | 0.53
|
|
|
|
|
|
|
15690053
| 42
| | Red | Green | Blue
| z | | 18.49
| znorm | | 14.44
| sky | 14.9 | 15.0 | 15.0
| S/N | 12.3 | 20.9 | 21.7
| S/N(c) | 18.3 | 21.7 | 10.6
| SN(E/C) | 0.54
|
|
|
|
|
|
|
15690054
| 42
| | Red | Green | Blue
| z | | 18.45
| znorm | | 14.39
| sky | 15.1 | 14.9 | 15.0
| S/N | 11.0 | 19.2 | 19.9
| S/N(c) | 17.1 | 20.4 | 10.2
| SN(E/C) | 0.57
|
|
|
|
|
|
|
15690055
| 42
| | Red | Green | Blue
| z | | 18.36
| znorm | | 14.30
| sky | 15.8 | 15.0 | 14.9
| S/N | 10.2 | 18.2 | 18.7
| S/N(c) | 16.2 | 19.5 | 9.8
| SN(E/C) | 0.60
|
|
|
|
|
|
|
15690056
| 42
| | Red | Green | Blue
| z | | 18.30
| znorm | | 14.24
| sky | 15.2 | 14.9 | 14.8
| S/N | 6.3 | 12.4 | 12.3
| S/N(c) | 15.1 | 18.5 | 9.3
| SN(E/C) | 0.60
|
|
|
|
|
|
|
15690057
| 42
| | Red | Green | Blue
| z | | 18.30
| znorm | | 14.24
| sky | 15.0 | 15.0 | 14.8
| S/N | 6.1 | 12.0 | 12.0
| S/N(c) | 15.5 | 18.7 | 9.4
| SN(E/C) | 0.61
|
|
|
|
|
|
|
15690058
| 42
| | Red | Green | Blue
| z | | 18.47
| znorm | | 14.41
| sky | 14.8 | 14.9 | 14.8
| S/N | 10.9 | 19.0 | 19.4
| S/N(c) | 18.2 | 21.4 | 10.6
| SN(E/C) | 0.55
|
|
|
|
|
|
|
15690059
| 42
| | Red | Green | Blue
| z | | 18.54
| znorm | | 14.49
| sky | 15.0 | 14.9 | 14.8
| S/N | 11.5 | 19.8 | 20.4
| S/N(c) | 18.8 | 22.0 | 10.9
| SN(E/C) | 0.52
|
|
|
|
|
|
|