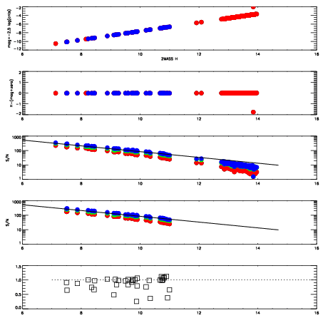
Left plots: red are targets, blue are telluric. Observed mags are calculated from median value of green chip. Zeropoint gives overall throughput: bigger number is more throughput.
First spatial plots: circles are objects, squares are tellurics, crosses are sky fibers. Colors give deviation of observed mag from expected 2MASS mag using the median zeropoint; red is brighter
Second spatial plots: circles are sky fibers. Colors give sky line brightness relative to plate median sky line brightness
FrameNreadsZeropointsMag plots Spatial mag deviation Spatial sky 16325A emission deviations (filled: sky, open: star) Spatial sky continuum emission Spatial sky telluric CO2 absorption deviations (filled: H < 10)
0 0
RedGreenBlue
z17.65
znorm Inf
sky -Inf -Inf -Inf
S/N 12.4 21.7 23.4
S/N(c) 25.8 8.8 8.8
SN(E/C) 0.98

IPAIRNAMESHIFTNEWSHIFTS/N NAMESHIFTNEWSHIFTS/N
0 19620056 0.495914 0.00000 18.4340 19620057 0.00156427 0.494350 18.2657
1 19620055 0.494095 0.00181901 18.6935 19620054 0.00000 0.495914 18.7163