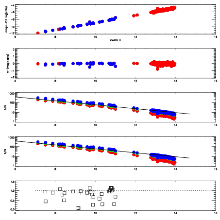
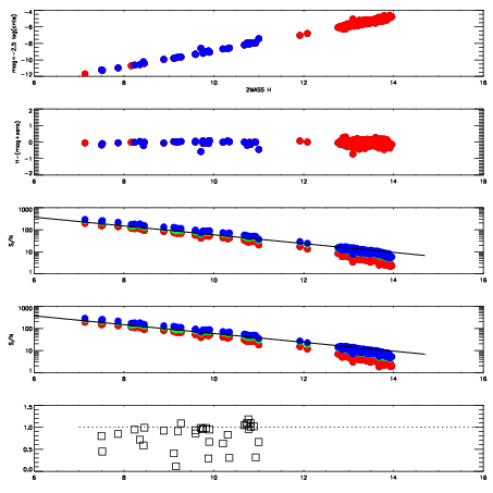
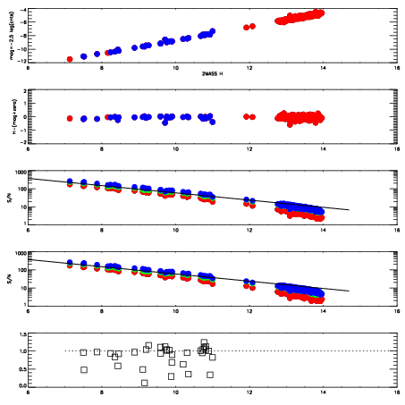
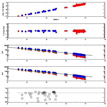
Frame | Nreads | Zeropoints | Mag plots
| Spatial mag deviation
| Spatial sky 16325A emission deviations (filled: sky, open: star)
| Spatial sky continuum emission
| Spatial sky telluric CO2 absorption deviations (filled: H < 10)
|
19710048
| 47
| | Red | Green | Blue
| z | | 18.93
| znorm | | 14.75
| sky | 14.3 | 13.9 | 13.9
| S/N | 15.9 | 24.4 | 26.4
| S/N(c) | 16.2 | 37.1 | 9.9
| SN(E/C) | 0.87
|
|
|
|
|
|
|
19710049
| 47
| | Red | Green | Blue
| z | | 18.89
| znorm | | 14.71
| sky | 14.3 | 14.1 | 14.0
| S/N | 15.0 | 23.8 | 25.6
| S/N(c) | 15.8 | 36.2 | 9.8
| SN(E/C) | 0.93
|
|
|
|
|
|
|
19710050
| 47
| | Red | Green | Blue
| z | | 18.83
| znorm | | 14.65
| sky | 14.3 | 14.2 | 14.0
| S/N | 14.7 | 22.9 | 24.6
| S/N(c) | 15.3 | 35.1 | 9.4
| SN(E/C) | 0.93
|
|
|
|
|
|
|
19710051
| 47
| | Red | Green | Blue
| z | | 18.93
| znorm | | 14.75
| sky | 14.5 | 14.2 | 14.1
| S/N | 14.9 | 23.6 | 25.4
| S/N(c) | 16.2 | 37.0 | 9.8
| SN(E/C) | 0.91
|
|
|
|
|
|
|
19710052
| 47
| | Red | Green | Blue
| z | | 18.73
| znorm | | 14.55
| sky | 14.5 | 14.3 | 14.2
| S/N | 12.9 | 21.1 | 22.5
| S/N(c) | 14.1 | 32.9 | 8.8
| SN(E/C) | 0.96
|
|
|
|
|
|
|
19710053
| 47
| | Red | Green | Blue
| z | | 18.96
| znorm | | 14.78
| sky | 14.3 | 14.3 | 14.2
| S/N | 14.8 | 23.4 | 25.1
| S/N(c) | 16.4 | 37.7 | 10.1
| SN(E/C) | 0.94
|
|
|
|
|
|
|
19710054
| 47
| | Red | Green | Blue
| z | | 19.03
| znorm | | 14.85
| sky | 14.4 | 14.3 | 14.1
| S/N | 15.6 | 24.3 | 25.9
| S/N(c) | 16.8 | 38.6 | 10.4
| SN(E/C) | 0.91
|
|
|
|
|
|
|
19710055
| 47
| | Red | Green | Blue
| z | | 19.01
| znorm | | 14.83
| sky | 14.4 | 14.4 | 14.2
| S/N | 15.2 | 24.1 | 25.6
| S/N(c) | 16.1 | 37.2 | 10.1
| SN(E/C) | 0.89
|
|
|
|
|
|
|