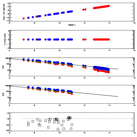
Left plots: red are targets, blue are telluric. Observed mags are calculated from median value of green chip. Zeropoint gives overall throughput: bigger number is more throughput.
First spatial plots: circles are objects, squares are tellurics, crosses are sky fibers. Colors give deviation of observed mag from expected 2MASS mag using the median zeropoint; red is brighter
Second spatial plots: circles are sky fibers. Colors give sky line brightness relative to plate median sky line brightness
FrameNreadsZeropointsMag plots Spatial mag deviation Spatial sky 16325A emission deviations (filled: sky, open: star) Spatial sky continuum emission Spatial sky telluric CO2 absorption deviations (filled: H < 10)
0 0
RedGreenBlue
z17.64
znorm Inf
sky -Inf -Inf -Inf
S/N 26.0 43.1 46.8
S/N(c) 27.3 65.6 17.1
SN(E/C) 0.84

IPAIRNAMESHIFTNEWSHIFTS/N NAMESHIFTNEWSHIFTS/N
0 19710054 0.498456 0.00000 19.0190 19710055 0.00391628 0.494540 18.9980
1 19710053 0.497654 0.000802010 18.9573 19710048 0.00000 0.498456 18.9405
2 19710049 0.495148 0.00330800 18.8878 19710051 -0.000705155 0.499161 18.9271
3 19710050 0.496178 0.00227800 18.8390 19710052 0.000958442 0.497498 18.7365