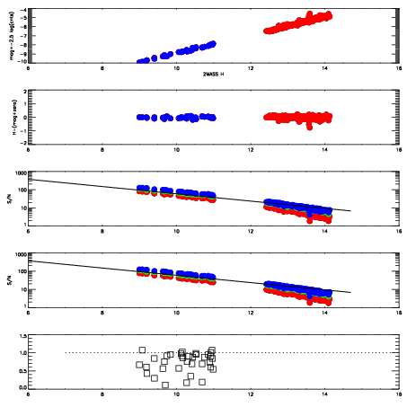
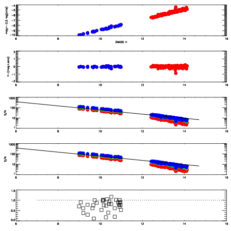
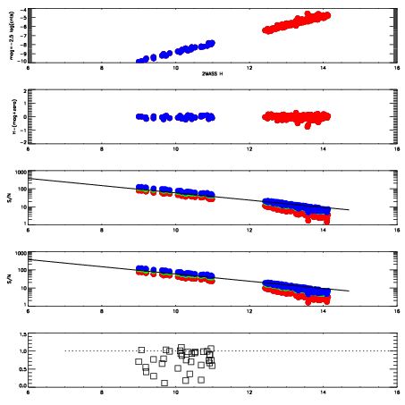
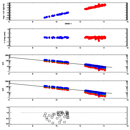
Frame | Nreads | Zeropoints | Mag plots
| Spatial mag deviation
| Spatial sky 16325A emission deviations (filled: sky, open: star)
| Spatial sky continuum emission
| Spatial sky telluric CO2 absorption deviations (filled: H < 10)
|
19910029
| 47
| | Red | Green | Blue
| z | | 18.88
| znorm | | 14.70
| sky | 14.3 | 14.0 | 14.0
| S/N | 16.5 | 24.5 | 28.6
| S/N(c) | 20.9 | 21.7 | 15.2
| SN(E/C) | 0.76
|
|
|
|
|
|
|
19910030
| 47
| | Red | Green | Blue
| z | | 18.89
| znorm | | 14.71
| sky | 14.2 | 14.0 | 14.1
| S/N | 16.7 | 24.9 | 29.3
| S/N(c) | 21.6 | 22.1 | 15.8
| SN(E/C) | 0.79
|
|
|
|
|
|
|
19910031
| 47
| | Red | Green | Blue
| z | | 18.99
| znorm | | 14.81
| sky | 14.3 | 14.0 | 14.0
| S/N | 17.6 | 26.2 | 30.7
| S/N(c) | 22.7 | 23.1 | 16.8
| SN(E/C) | 0.82
|
|
|
|
|
|
|
19910032
| 47
| | Red | Green | Blue
| z | | 18.93
| znorm | | 14.75
| sky | 14.5 | 14.1 | 13.9
| S/N | 17.1 | 25.5 | 29.8
| S/N(c) | 22.3 | 22.7 | 16.6
| SN(E/C) | 0.75
|
|
|
|
|
|
|
19910033
| 47
| | Red | Green | Blue
| z | | 18.93
| znorm | | 14.75
| sky | 14.2 | 14.1 | 14.1
| S/N | 17.3 | 25.5 | 29.5
| S/N(c) | 22.0 | 22.7 | 16.4
| SN(E/C) | 0.84
|
|
|
|
|
|
|
19910034
| 47
| | Red | Green | Blue
| z | | 18.90
| znorm | | 14.72
| sky | 14.5 | 14.3 | 14.1
| S/N | 17.0 | 25.0 | 29.0
| S/N(c) | 21.7 | 22.3 | 16.0
| SN(E/C) | 0.78
|
|
|
|
|
|
|
19910035
| 47
| | Red | Green | Blue
| z | | 18.92
| znorm | | 14.74
| sky | 14.3 | 14.1 | 14.1
| S/N | 17.2 | 25.4 | 29.5
| S/N(c) | 22.0 | 22.5 | 16.2
| SN(E/C) | 0.79
|
|
|
|
|
|
|
19910036
| 47
| | Red | Green | Blue
| z | | 18.89
| znorm | | 14.71
| sky | 14.3 | 14.2 | 14.1
| S/N | 16.8 | 24.7 | 29.0
| S/N(c) | 21.6 | 22.3 | 16.0
| SN(E/C) | 0.75
|
|
|
|
|
|
|