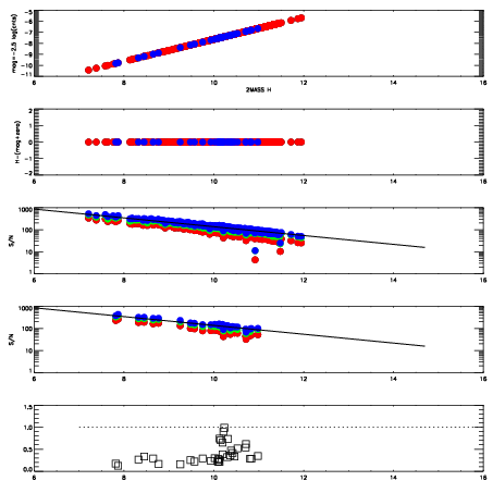
Left plots: red are targets, blue are telluric. Observed mags are calculated from median value of green chip. Zeropoint gives overall throughput: bigger number is more throughput.
First spatial plots: circles are objects, squares are tellurics, crosses are sky fibers. Colors give deviation of observed mag from expected 2MASS mag using the median zeropoint; red is brighter
Second spatial plots: circles are sky fibers. Colors give sky line brightness relative to plate median sky line brightness
FrameNreadsZeropointsMag plots Spatial mag deviation Spatial sky 16325A emission deviations (filled: sky, open: star) Spatial sky continuum emission Spatial sky telluric CO2 absorption deviations (filled: H < 10)
0 0
RedGreenBlue
z17.64
znorm Inf
sky -Inf -Inf -NaN
S/N 23.1 42.6 45.6
S/N(c) 0.0 0.0 0.0
SN(E/C) 0.30

IPAIRNAMESHIFTNEWSHIFTS/N NAMESHIFTNEWSHIFTS/N
0 18380017 0.504991 0.00000 18.2801 18380018 0.00158905 0.503402 18.2891
1 18380016 0.504436 0.000554979 18.6485 18380015 0.00262498 0.502366 18.6657
2 18380021 0.502207 0.00278401 18.5765 18380022 0.00277620 0.502215 18.5257
3 18380020 0.502986 0.00200498 18.1877 18380019 0.00141939 0.503572 18.1460
4 18380012 0.504199 0.000791967 18.1647 18380011 0.00000 0.504991 18.1423
5 18380013 0.504649 0.000342011 17.9834 18380014 0.00259122 0.502400 18.0058