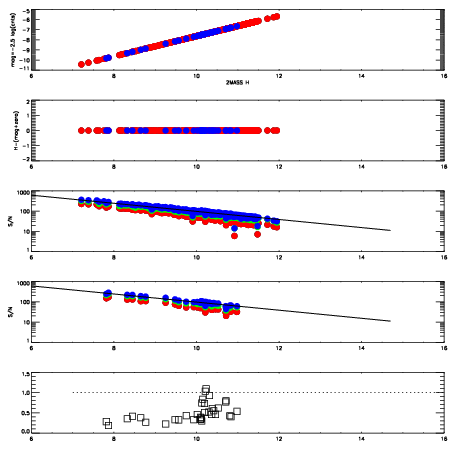
Left plots: red are targets, blue are telluric. Observed mags are calculated from median value of green chip. Zeropoint gives overall throughput: bigger number is more throughput.
First spatial plots: circles are objects, squares are tellurics, crosses are sky fibers. Colors give deviation of observed mag from expected 2MASS mag using the median zeropoint; red is brighter
Second spatial plots: circles are sky fibers. Colors give sky line brightness relative to plate median sky line brightness
FrameNreadsZeropointsMag plots Spatial mag deviation Spatial sky 16325A emission deviations (filled: sky, open: star) Spatial sky continuum emission Spatial sky telluric CO2 absorption deviations (filled: H < 10)
0 0
RedGreenBlue
z17.64
znorm Inf
sky -Inf -Inf -Inf
S/N 15.7 28.3 30.3
S/N(c) 0.0 0.0 0.0
SN(E/C) 0.43

IPAIRNAMESHIFTNEWSHIFTS/N NAMESHIFTNEWSHIFTS/N
0 18390039 0.00116783 0.00000 17.9427 18390040 -0.500153 0.501321 17.9656
1 18390038 0.000966489 0.000201341 18.4305 18390036 -0.499987 0.501155 18.4645
2 18390035 0.00000 0.00116783 18.3756 18390037 -0.499854 0.501022 18.4197