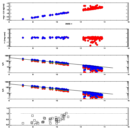
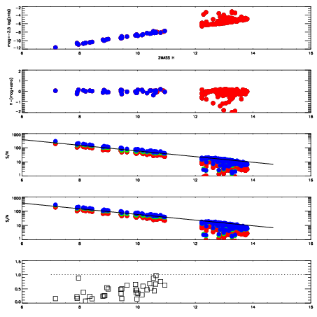
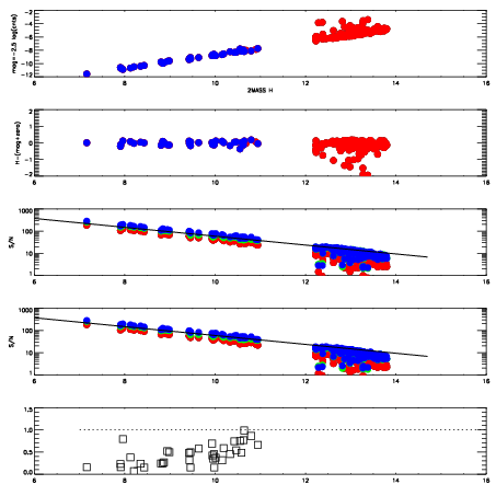
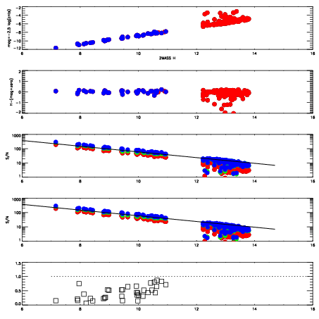
Frame | Nreads | Zeropoints | Mag plots
| Spatial mag deviation
| Spatial sky 16325A emission deviations (filled: sky, open: star)
| Spatial sky continuum emission
| Spatial sky telluric CO2 absorption deviations (filled: H < 10)
|
15820035
| 47
| | Red | Green | Blue
| z | | 18.68
| znorm | | 14.50
| sky | 14.5 | 14.4 | 14.7
| S/N | 14.1 | 21.6 | 23.3
| S/N(c) | 22.1 | 22.4 | 35.5
| SN(E/C) | 0.46
|
|
|
|
|
|
|
15820036
| 47
| | Red | Green | Blue
| z | | 18.72
| znorm | | 14.54
| sky | 14.7 | 14.6 | 14.7
| S/N | 14.3 | 21.9 | 23.5
| S/N(c) | 22.4 | 22.6 | 36.2
| SN(E/C) | 0.46
|
|
|
|
|
|
|
15820037
| 47
| | Red | Green | Blue
| z | | 18.74
| znorm | | 14.56
| sky | 14.6 | 14.8 | 14.7
| S/N | 14.6 | 22.2 | 24.0
| S/N(c) | 22.8 | 23.1 | 36.6
| SN(E/C) | 0.43
|
|
|
|
|
|
|
15820038
| 47
| | Red | Green | Blue
| z | | 18.71
| znorm | | 14.53
| sky | 14.8 | 14.8 | 14.8
| S/N | 14.3 | 21.7 | 23.3
| S/N(c) | 21.9 | 22.7 | 35.5
| SN(E/C) | 0.45
|
|
|
|
|
|
|
15820039
| 47
| | Red | Green | Blue
| z | | 18.77
| znorm | | 14.59
| sky | 14.6 | 14.8 | 14.7
| S/N | 14.7 | 22.3 | 24.1
| S/N(c) | 22.9 | 23.1 | 36.9
| SN(E/C) | 0.42
|
|
|
|
|
|
|
15820040
| 47
| | Red | Green | Blue
| z | | 18.61
| znorm | | 14.43
| sky | 14.7 | 14.7 | 14.8
| S/N | 13.3 | 20.5 | 22.1
| S/N(c) | 21.0 | 21.7 | 33.9
| SN(E/C) | 0.46
|
|
|
|
|
|
|
15820041
| 47
| | Red | Green | Blue
| z | | 18.54
| znorm | | 14.36
| sky | 14.8 | 14.8 | 14.8
| S/N | 12.8 | 19.9 | 21.3
| S/N(c) | 20.1 | 21.4 | 32.6
| SN(E/C) | 0.48
|
|
|
|
|
|
|
15820042
| 47
| | Red | Green | Blue
| z | | 18.48
| znorm | | 14.30
| sky | 14.7 | 14.9 | 14.8
| S/N | 12.5 | 19.3 | 20.6
| S/N(c) | 19.3 | 20.6 | 31.7
| SN(E/C) | 0.48
|
|
|
|
|
|
|
15820043
| 47
| | Red | Green | Blue
| z | | 18.44
| znorm | | 14.26
| sky | 14.5 | 14.7 | 14.9
| S/N | 11.9 | 18.9 | 20.1
| S/N(c) | 18.8 | 20.2 | 30.9
| SN(E/C) | 0.51
|
|
|
|
|
|
|
15820044
| 47
| | Red | Green | Blue
| z | | 18.35
| znorm | | 14.17
| sky | 14.7 | 14.7 | 14.8
| S/N | 11.2 | 18.0 | 19.2
| S/N(c) | 17.6 | 19.0 | 29.3
| SN(E/C) | 0.49
|
|
|
|
|
|
|