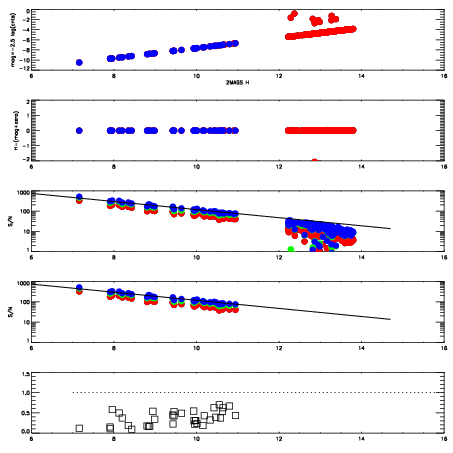
Left plots: red are targets, blue are telluric. Observed mags are calculated from median value of green chip. Zeropoint gives overall throughput: bigger number is more throughput.
First spatial plots: circles are objects, squares are tellurics, crosses are sky fibers. Colors give deviation of observed mag from expected 2MASS mag using the median zeropoint; red is brighter
Second spatial plots: circles are sky fibers. Colors give sky line brightness relative to plate median sky line brightness
FrameNreadsZeropointsMag plots Spatial mag deviation Spatial sky 16325A emission deviations (filled: sky, open: star) Spatial sky continuum emission Spatial sky telluric CO2 absorption deviations (filled: H < 10)
0 0
RedGreenBlue
z17.64
znorm Inf
sky -Inf -Inf -Inf
S/N 22.6 37.7 42.5
S/N(c) 33.3 44.4 27.5
SN(E/C) 0.37

IPAIRNAMESHIFTNEWSHIFTS/N NAMESHIFTNEWSHIFTS/N
0 16070035 0.491592 0.00000 18.5320 16070037 0.00185561 0.489736 18.7879
1 16070038 0.491193 0.000398993 18.3611 16070040 0.00164003 0.489952 18.5343
2 16070039 0.491430 0.000161976 18.2032 16070033 0.00000 0.491592 18.0509
3 16070034 0.490752 0.000839978 18.0830 16070036 0.00251323 0.489079 17.6807