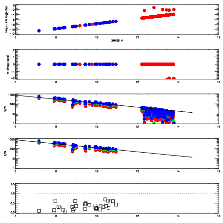
Left plots: red are targets, blue are telluric. Observed mags are calculated from median value of green chip. Zeropoint gives overall throughput: bigger number is more throughput.
First spatial plots: circles are objects, squares are tellurics, crosses are sky fibers. Colors give deviation of observed mag from expected 2MASS mag using the median zeropoint; red is brighter
Second spatial plots: circles are sky fibers. Colors give sky line brightness relative to plate median sky line brightness
FrameNreadsZeropointsMag plots Spatial mag deviation Spatial sky 16325A emission deviations (filled: sky, open: star) Spatial sky continuum emission Spatial sky telluric CO2 absorption deviations (filled: H < 10)
0 0
RedGreenBlue
z17.64
znorm Inf
sky -Inf -Inf -Inf
S/N 30.6 43.3 55.4
S/N(c) 34.6 44.4 29.0
SN(E/C) 0.31

IPAIRNAMESHIFTNEWSHIFTS/N NAMESHIFTNEWSHIFTS/N
0 15860038 0.489709 0.00000 18.7578 15860037 0.00194614 0.487763 18.7353
1 15860039 0.489490 0.000218987 18.7176 15860040 -0.000191241 0.489900 18.6929
2 15860034 0.489648 6.09756e-05 18.6518 15860033 0.00000 0.489709 18.5542
3 15860035 0.489371 0.000337988 17.9157 15860036 0.00100517 0.488704 17.4900