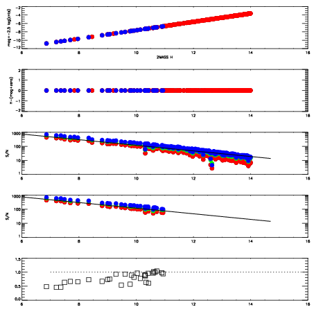
Left plots: red are targets, blue are telluric. Observed mags are calculated from median value of green chip. Zeropoint gives overall throughput: bigger number is more throughput.
First spatial plots: circles are objects, squares are tellurics, crosses are sky fibers. Colors give deviation of observed mag from expected 2MASS mag using the median zeropoint; red is brighter
Second spatial plots: circles are sky fibers. Colors give sky line brightness relative to plate median sky line brightness
FrameNreadsZeropointsMag plots Spatial mag deviation Spatial sky 16325A emission deviations (filled: sky, open: star) Spatial sky continuum emission Spatial sky telluric CO2 absorption deviations (filled: H < 10)
0 0
RedGreenBlue
z17.64
znorm Inf
sky -Inf -NaN -Inf
S/N 30.0 53.7 58.5
S/N(c) 0.0 0.0 0.0
SN(E/C) 0.82

IPAIRNAMESHIFTNEWSHIFTS/N NAMESHIFTNEWSHIFTS/N
0 16120013 0.496777 0.00000 19.1402 16120015 -0.000720278 0.497497 19.1604
1 16120012 0.496631 0.000146002 19.2010 16120011 0.00000 0.496777 19.1805
2 16120017 0.494617 0.00216001 19.1081 16120014 -0.000612826 0.497390 19.1535
3 16120016 0.495604 0.00117299 19.0562 16120018 -0.00129347 0.498070 19.1218