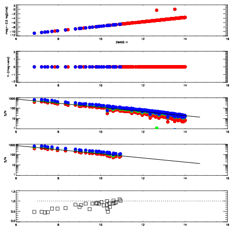
Left plots: red are targets, blue are telluric. Observed mags are calculated from median value of green chip. Zeropoint gives overall throughput: bigger number is more throughput.
First spatial plots: circles are objects, squares are tellurics, crosses are sky fibers. Colors give deviation of observed mag from expected 2MASS mag using the median zeropoint; red is brighter
Second spatial plots: circles are sky fibers. Colors give sky line brightness relative to plate median sky line brightness
FrameNreadsZeropointsMag plots Spatial mag deviation Spatial sky 16325A emission deviations (filled: sky, open: star) Spatial sky continuum emission Spatial sky telluric CO2 absorption deviations (filled: H < 10)
0 0
RedGreenBlue
z17.64
znorm Inf
sky -Inf -NaN -Inf
S/N 31.6 55.8 62.3
S/N(c) 0.0 0.0 0.0
SN(E/C) 0.83

IPAIRNAMESHIFTNEWSHIFTS/N NAMESHIFTNEWSHIFTS/N
0 19660065 0.00000 0.00000 19.1840 19660071 -0.494240 0.494240 19.1802
1 19660069 -0.000701631 0.000701631 19.2076 19660067 -0.488452 0.488452 19.1967
2 19660068 -0.000450675 0.000450675 19.1777 19660070 -0.493972 0.493972 19.1699
3 19660072 -0.000605945 0.000605945 19.1379 19660066 -0.488696 0.488696 19.1576