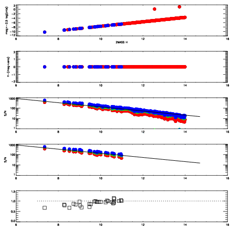
Left plots: red are targets, blue are telluric. Observed mags are calculated from median value of green chip. Zeropoint gives overall throughput: bigger number is more throughput.
First spatial plots: circles are objects, squares are tellurics, crosses are sky fibers. Colors give deviation of observed mag from expected 2MASS mag using the median zeropoint; red is brighter
Second spatial plots: circles are sky fibers. Colors give sky line brightness relative to plate median sky line brightness
FrameNreadsZeropointsMag plots Spatial mag deviation Spatial sky 16325A emission deviations (filled: sky, open: star) Spatial sky continuum emission Spatial sky telluric CO2 absorption deviations (filled: H < 10)
0 0
RedGreenBlue
z17.64
znorm Inf
sky -Inf -Inf -Inf
S/N 28.1 50.6 56.9
S/N(c) 0.0 0.0 0.0
SN(E/C) 0.95

IPAIRNAMESHIFTNEWSHIFTS/N NAMESHIFTNEWSHIFTS/N
0 15800057 0.486138 0.00000 18.7478 15800056 0.00000 0.486138 18.7130
1 15800065 0.484470 0.00166798 19.0498 15800064 -7.45791e-05 0.486213 19.1412
2 15800061 0.485187 0.000950992 18.9927 15800063 0.000611885 0.485526 19.0364
3 15800058 0.485962 0.000175983 18.9736 15800059 0.000979925 0.485158 18.8994
4 15800062 0.485653 0.000484973 18.9318 15800060 0.000868897 0.485269 18.7258