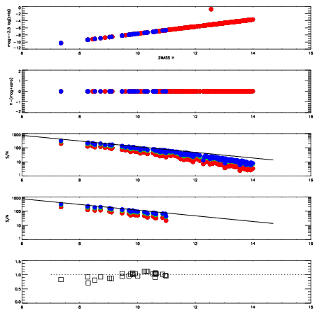
Left plots: red are targets, blue are telluric. Observed mags are calculated from median value of green chip. Zeropoint gives overall throughput: bigger number is more throughput.
First spatial plots: circles are objects, squares are tellurics, crosses are sky fibers. Colors give deviation of observed mag from expected 2MASS mag using the median zeropoint; red is brighter
Second spatial plots: circles are sky fibers. Colors give sky line brightness relative to plate median sky line brightness
FrameNreadsZeropointsMag plots Spatial mag deviation Spatial sky 16325A emission deviations (filled: sky, open: star) Spatial sky continuum emission Spatial sky telluric CO2 absorption deviations (filled: H < 10)
0 0
RedGreenBlue
z17.64
znorm Inf
sky -Inf -Inf -Inf
S/N 12.7 24.8 28.7
S/N(c) 0.0 0.0 0.0
SN(E/C) 1.01

IPAIRNAMESHIFTNEWSHIFTS/N NAMESHIFTNEWSHIFTS/N
0 16370017 0.490195 0.00000 16.9796 16370018 7.52069e-05 0.490120 16.0181
1 16370012 0.488227 0.00196800 18.4033 16370014 -0.000739811 0.490935 18.5535
2 16370016 0.488488 0.00170702 18.3667 16370011 0.00000 0.490195 18.2944
3 16370013 0.487817 0.00237802 18.2309 16370015 0.000158485 0.490037 17.4649