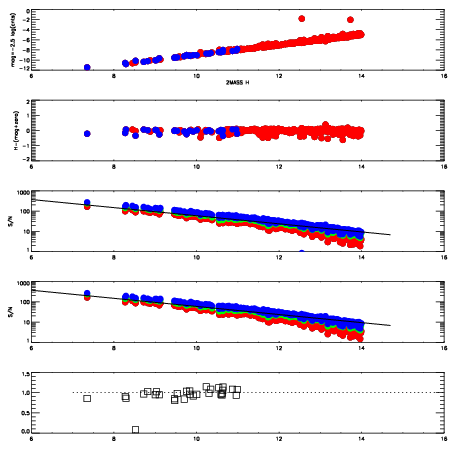
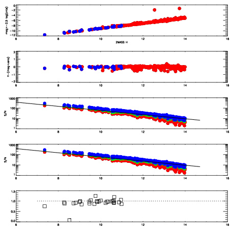
Left plots: red are targets, blue are telluric. Observed mags are calculated from median value of green chip. Zeropoint gives overall throughput: bigger number is more throughput.
First spatial plots: circles are objects, squares are tellurics, crosses are sky fibers. Colors give deviation of observed mag from expected 2MASS mag using the median zeropoint; red is brighter
Second spatial plots: circles are sky fibers. Colors give sky line brightness relative to plate median sky line brightness
FrameNreadsZeropointsMag plots Spatial mag deviation Spatial sky 16325A emission deviations (filled: sky, open: star) Spatial sky continuum emission Spatial sky telluric CO2 absorption deviations (filled: H < 10)
19090077 47
RedGreenBlue
z19.00
znorm14.82
sky 15.2 14.9 15.0
S/N 15.3 25.7 29.8
S/N(c) 16.7 36.7 9.5
SN(E/C) 0.94
19090078 47
RedGreenBlue
z19.12
znorm14.94
sky 15.1 14.9 15.1
S/N 16.4 27.1 31.6
S/N(c) 18.3 39.5 10.4
SN(E/C) 0.95
19090079 47
RedGreenBlue
z19.01
znorm14.82
sky 15.4 15.0 15.0
S/N 15.2 25.6 29.7
S/N(c) 17.1 37.3 9.6
SN(E/C) 0.96
19090080 47
RedGreenBlue
z18.97
znorm14.79
sky 14.9 14.8 14.9
S/N 14.7 25.3 29.0
S/N(c) 16.5 36.5 9.4
SN(E/C) 0.97