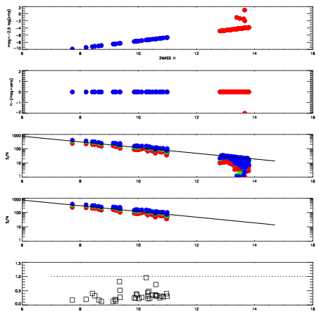
Left plots: red are targets, blue are telluric. Observed mags are calculated from median value of green chip. Zeropoint gives overall throughput: bigger number is more throughput.
First spatial plots: circles are objects, squares are tellurics, crosses are sky fibers. Colors give deviation of observed mag from expected 2MASS mag using the median zeropoint; red is brighter
Second spatial plots: circles are sky fibers. Colors give sky line brightness relative to plate median sky line brightness
FrameNreadsZeropointsMag plots Spatial mag deviation Spatial sky 16325A emission deviations (filled: sky, open: star) Spatial sky continuum emission Spatial sky telluric CO2 absorption deviations (filled: H < 10)
0 0
RedGreenBlue
z17.64
znorm Inf
sky -Inf -Inf -Inf
S/N 32.5 48.4 59.2
S/N(c) 47.8 16.1 61.3
SN(E/C) 0.30

IPAIRNAMESHIFTNEWSHIFTS/N NAMESHIFTNEWSHIFTS/N
0 15800051 0.485033 0.00000 18.7854 15800052 -0.000624407 0.485657 18.8745
1 15800047 0.483513 0.00152001 18.8952 15800049 -0.000722548 0.485756 18.9131
2 15800050 0.484295 0.000737995 18.8749 15800045 0.00000 0.485033 18.9022
3 15800046 0.483204 0.00182900 18.8166 15800048 -0.000431690 0.485465 18.8782