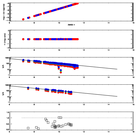
Left plots: red are targets, blue are telluric. Observed mags are calculated from median value of green chip. Zeropoint gives overall throughput: bigger number is more throughput.
First spatial plots: circles are objects, squares are tellurics, crosses are sky fibers. Colors give deviation of observed mag from expected 2MASS mag using the median zeropoint; red is brighter
Second spatial plots: circles are sky fibers. Colors give sky line brightness relative to plate median sky line brightness
FrameNreadsZeropointsMag plots Spatial mag deviation Spatial sky 16325A emission deviations (filled: sky, open: star) Spatial sky continuum emission Spatial sky telluric CO2 absorption deviations (filled: H < 10)
0 0
RedGreenBlue
z17.64
znorm Inf
sky -Inf -Inf -Inf
S/N 16.5 29.5 33.0
S/N(c) 0.0 0.0 0.0
SN(E/C) 0.36

IPAIRNAMESHIFTNEWSHIFTS/N NAMESHIFTNEWSHIFTS/N
0 16330013 0.492314 0.00000 18.2638 16330014 0.00193761 0.490376 18.3313
1 16330012 0.490807 0.00150701 18.3859 16330011 0.00000 0.492314 18.3691
2 16330016 0.491895 0.000419021 18.2124 16330015 0.000202756 0.492111 18.2308