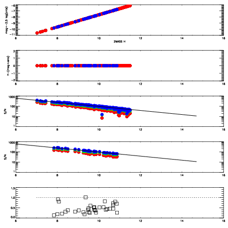
Left plots: red are targets, blue are telluric. Observed mags are calculated from median value of green chip. Zeropoint gives overall throughput: bigger number is more throughput.
First spatial plots: circles are objects, squares are tellurics, crosses are sky fibers. Colors give deviation of observed mag from expected 2MASS mag using the median zeropoint; red is brighter
Second spatial plots: circles are sky fibers. Colors give sky line brightness relative to plate median sky line brightness
FrameNreadsZeropointsMag plots Spatial mag deviation Spatial sky 16325A emission deviations (filled: sky, open: star) Spatial sky continuum emission Spatial sky telluric CO2 absorption deviations (filled: H < 10)
0 0
RedGreenBlue
z17.64
znorm Inf
sky -Inf -Inf -NaN
S/N 15.4 27.0 31.8
S/N(c) 0.0 0.0 0.0
SN(E/C) 0.41

IPAIRNAMESHIFTNEWSHIFTS/N NAMESHIFTNEWSHIFTS/N
0 18740079 0.502561 0.00000 18.0864 18740077 0.00000 0.502561 18.1286
1 18740082 0.501827 0.000733972 18.3919 18740081 0.00218128 0.500380 18.4670
2 18740078 0.501148 0.00141299 18.0953 18740080 0.00188565 0.500675 18.1527