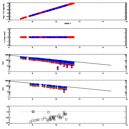
Left plots: red are targets, blue are telluric. Observed mags are calculated from median value of green chip. Zeropoint gives overall throughput: bigger number is more throughput.
First spatial plots: circles are objects, squares are tellurics, crosses are sky fibers. Colors give deviation of observed mag from expected 2MASS mag using the median zeropoint; red is brighter
Second spatial plots: circles are sky fibers. Colors give sky line brightness relative to plate median sky line brightness
FrameNreadsZeropointsMag plots Spatial mag deviation Spatial sky 16325A emission deviations (filled: sky, open: star) Spatial sky continuum emission Spatial sky telluric CO2 absorption deviations (filled: H < 10)
0 0
RedGreenBlue
z17.64
znorm Inf
sky -Inf -Inf -NaN
S/N 11.9 22.1 25.7
S/N(c) 0.0 0.0 0.0
SN(E/C) 0.50

IPAIRNAMESHIFTNEWSHIFTS/N NAMESHIFTNEWSHIFTS/N
0 18910044 0.515078 0.00000 16.0870 18910045 0.00300378 0.512074 16.1302
1 18910040 0.513299 0.00177902 18.1183 18910041 0.000640191 0.514438 18.0821
2 18910039 0.513580 0.00149798 17.7649 18910042 -4.76597e-05 0.515126 18.0616
3 18910043 0.514850 0.000227988 16.3956 18910038 0.00000 0.515078 17.7773