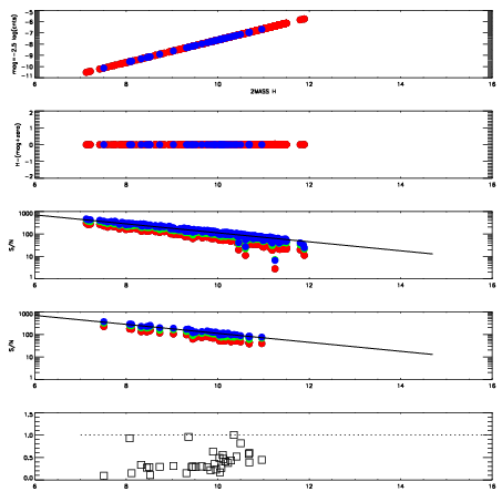
Left plots: red are targets, blue are telluric. Observed mags are calculated from median value of green chip. Zeropoint gives overall throughput: bigger number is more throughput.
First spatial plots: circles are objects, squares are tellurics, crosses are sky fibers. Colors give deviation of observed mag from expected 2MASS mag using the median zeropoint; red is brighter
Second spatial plots: circles are sky fibers. Colors give sky line brightness relative to plate median sky line brightness
FrameNreadsZeropointsMag plots Spatial mag deviation Spatial sky 16325A emission deviations (filled: sky, open: star) Spatial sky continuum emission Spatial sky telluric CO2 absorption deviations (filled: H < 10)
0 0
RedGreenBlue
z17.64
znorm Inf
sky -Inf -Inf -NaN
S/N 14.5 27.0 28.6
S/N(c) 0.0 0.0 0.0
SN(E/C) 0.34

IPAIRNAMESHIFTNEWSHIFTS/N NAMESHIFTNEWSHIFTS/N
0 19040071 0.501197 0.00000 18.2929 19040072 -0.00468979 0.505887 18.3244
1 19040070 0.499807 0.00138998 18.3926 19040069 0.00000 0.501197 18.3673
2 19040075 0.499261 0.00193599 18.2323 19040076 -0.00491844 0.506115 18.3184
3 19040074 0.499429 0.00176799 18.0657 19040073 -0.00479848 0.505995 18.0899