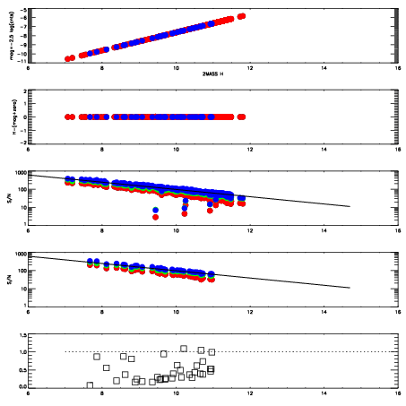
Left plots: red are targets, blue are telluric. Observed mags are calculated from median value of green chip. Zeropoint gives overall throughput: bigger number is more throughput.
First spatial plots: circles are objects, squares are tellurics, crosses are sky fibers. Colors give deviation of observed mag from expected 2MASS mag using the median zeropoint; red is brighter
Second spatial plots: circles are sky fibers. Colors give sky line brightness relative to plate median sky line brightness
FrameNreadsZeropointsMag plots Spatial mag deviation Spatial sky 16325A emission deviations (filled: sky, open: star) Spatial sky continuum emission Spatial sky telluric CO2 absorption deviations (filled: H < 10)
0 0
RedGreenBlue
z17.64
znorm Inf
sky -Inf -Inf -NaN
S/N 14.0 26.1 28.2
S/N(c) 0.0 0.0 0.0
SN(E/C) 0.39

IPAIRNAMESHIFTNEWSHIFTS/N NAMESHIFTNEWSHIFTS/N
0 19440036 0.481568 0.00000 18.0065 19440037 0.000149719 0.481418 18.0944
1 19440039 0.481193 0.000375003 18.7806 19440038 -0.000487600 0.482056 18.7459
2 19440035 0.481106 0.000461996 17.9610 19440034 0.00000 0.481568 17.9026