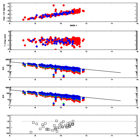
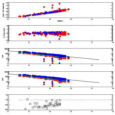
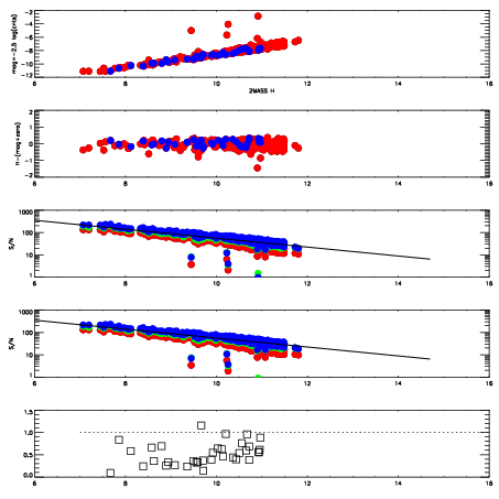
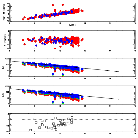
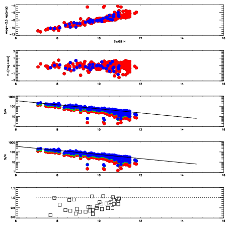
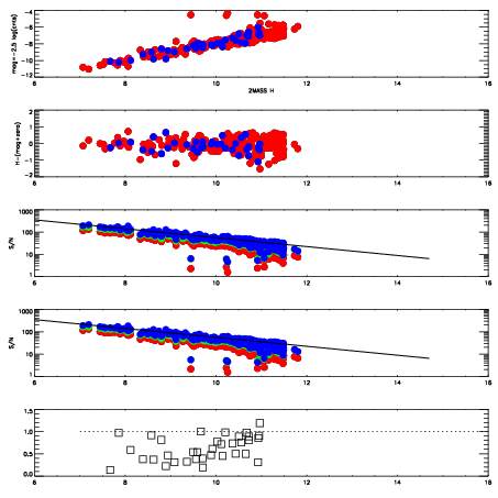
Left plots: red are targets, blue are telluric. Observed mags are calculated from median value of green chip. Zeropoint gives overall throughput: bigger number is more throughput.
First spatial plots: circles are objects, squares are tellurics, crosses are sky fibers. Colors give deviation of observed mag from expected 2MASS mag using the median zeropoint; red is brighter
Second spatial plots: circles are sky fibers. Colors give sky line brightness relative to plate median sky line brightness
FrameNreadsZeropointsMag plots Spatial mag deviation Spatial sky 16325A emission deviations (filled: sky, open: star) Spatial sky continuum emission Spatial sky telluric CO2 absorption deviations (filled: H < 10)
19450011 42
RedGreenBlue
z18.00
znorm13.94
sky 15.0 14.7 14.8
S/N 8.6 15.7 16.6
S/N(c) 12.1 17.0 17.6
SN(E/C) 0.61
19450012 42
RedGreenBlue
z18.00
znorm13.94
sky 14.9 15.0 15.3
S/N 7.9 15.0 15.4
S/N(c) 11.6 17.1 17.3
SN(E/C) 0.67
19450013 42
RedGreenBlue
z18.03
znorm13.97
sky 14.9 15.2 15.1
S/N 7.3 14.1 14.4
S/N(c) 12.5 17.6 17.9
SN(E/C) 0.58
19450014 42
RedGreenBlue
z18.06
znorm14.00
sky 14.8 15.1 15.0
S/N 7.0 13.9 14.1
S/N(c) 12.7 17.7 18.2
SN(E/C) 0.65
19450015 42
RedGreenBlue
z18.54
znorm14.48
sky 15.0 15.3 14.8
S/N 9.8 17.5 18.2
S/N(c) 17.1 22.4 23.3
SN(E/C) 0.51
19450016 42
RedGreenBlue
z18.53
znorm14.47
sky 15.1 14.9 14.8
S/N 9.8 18.0 18.5
S/N(c) 17.3 22.7 23.5
SN(E/C) 0.54