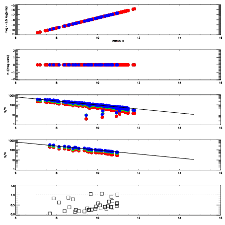
Left plots: red are targets, blue are telluric. Observed mags are calculated from median value of green chip. Zeropoint gives overall throughput: bigger number is more throughput.
First spatial plots: circles are objects, squares are tellurics, crosses are sky fibers. Colors give deviation of observed mag from expected 2MASS mag using the median zeropoint; red is brighter
Second spatial plots: circles are sky fibers. Colors give sky line brightness relative to plate median sky line brightness
FrameNreadsZeropointsMag plots Spatial mag deviation Spatial sky 16325A emission deviations (filled: sky, open: star) Spatial sky continuum emission Spatial sky telluric CO2 absorption deviations (filled: H < 10)
0 0
RedGreenBlue
z17.64
znorm Inf
sky -Inf -NaN -NaN
S/N 12.2 24.4 25.3
S/N(c) 0.0 0.0 0.0
SN(E/C) 0.41

IPAIRNAMESHIFTNEWSHIFTS/N NAMESHIFTNEWSHIFTS/N
0 19450012 0.486349 0.00000 17.9497 19450011 0.00000 0.486349 17.9476
1 19450016 0.485205 0.00114399 18.5017 19450015 -0.000330752 0.486680 18.4944
2 19450013 0.485789 0.000559986 17.9848 19450014 0.000476358 0.485873 18.0001