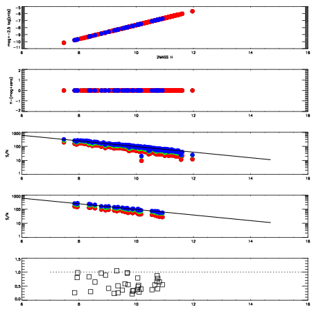
Left plots: red are targets, blue are telluric. Observed mags are calculated from median value of green chip. Zeropoint gives overall throughput: bigger number is more throughput.
First spatial plots: circles are objects, squares are tellurics, crosses are sky fibers. Colors give deviation of observed mag from expected 2MASS mag using the median zeropoint; red is brighter
Second spatial plots: circles are sky fibers. Colors give sky line brightness relative to plate median sky line brightness
FrameNreadsZeropointsMag plots Spatial mag deviation Spatial sky 16325A emission deviations (filled: sky, open: star) Spatial sky continuum emission Spatial sky telluric CO2 absorption deviations (filled: H < 10)
0 0
RedGreenBlue
z17.64
znorm Inf
sky -Inf -Inf -Inf
S/N 10.9 20.8 22.1
S/N(c) 0.0 0.0 0.0
SN(E/C) 0.55

IPAIRNAMESHIFTNEWSHIFTS/N NAMESHIFTNEWSHIFTS/N
0 18740090 0.00213971 0.00000 18.7311 18740091 -0.498313 0.500453 18.7607
1 18740089 0.00178177 0.000357940 17.9760 18740088 -0.499593 0.501733 17.9231
2 18740086 0.00000 0.00213971 17.7868 18740087 -0.499845 0.501985 17.7944