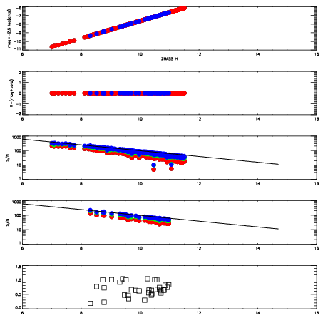
Left plots: red are targets, blue are telluric. Observed mags are calculated from median value of green chip. Zeropoint gives overall throughput: bigger number is more throughput.
First spatial plots: circles are objects, squares are tellurics, crosses are sky fibers. Colors give deviation of observed mag from expected 2MASS mag using the median zeropoint; red is brighter
Second spatial plots: circles are sky fibers. Colors give sky line brightness relative to plate median sky line brightness
FrameNreadsZeropointsMag plots Spatial mag deviation Spatial sky 16325A emission deviations (filled: sky, open: star) Spatial sky continuum emission Spatial sky telluric CO2 absorption deviations (filled: H < 10)
0 0
RedGreenBlue
z17.64
znorm Inf
sky -Inf -Inf -Inf
S/N 13.2 23.0 26.7
S/N(c) 0.0 0.0 0.0
SN(E/C) 0.66

IPAIRNAMESHIFTNEWSHIFTS/N NAMESHIFTNEWSHIFTS/N
0 16030031 0.487262 0.00000 17.5785 16030029 0.00000 0.487262 17.9727
1 16030034 0.485689 0.00157300 18.4793 16030033 -0.000967374 0.488229 18.3192
2 16030030 0.486689 0.000573009 17.5380 16030032 -0.000608322 0.487870 17.6191