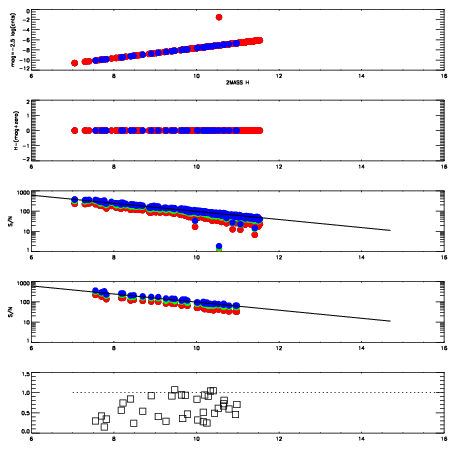
Left plots: red are targets, blue are telluric. Observed mags are calculated from median value of green chip. Zeropoint gives overall throughput: bigger number is more throughput.
First spatial plots: circles are objects, squares are tellurics, crosses are sky fibers. Colors give deviation of observed mag from expected 2MASS mag using the median zeropoint; red is brighter
Second spatial plots: circles are sky fibers. Colors give sky line brightness relative to plate median sky line brightness
FrameNreadsZeropointsMag plots Spatial mag deviation Spatial sky 16325A emission deviations (filled: sky, open: star) Spatial sky continuum emission Spatial sky telluric CO2 absorption deviations (filled: H < 10)
0 0
RedGreenBlue
z17.64
znorm Inf
sky -Inf -Inf -NaN
S/N 17.1 29.9 33.7
S/N(c) 0.0 0.0 0.0
SN(E/C) 0.59

IPAIRNAMESHIFTNEWSHIFTS/N NAMESHIFTNEWSHIFTS/N
0 17070019 0.000937932 0.00000 18.0791 17070018 -0.487802 0.488740 17.9976
1 17070020 0.000636340 0.000301592 18.5300 17070021 -0.487287 0.488225 18.5193
2 17070016 0.00000 0.000937932 18.1931 17070017 -0.488287 0.489225 18.1908