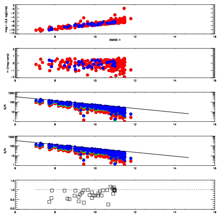
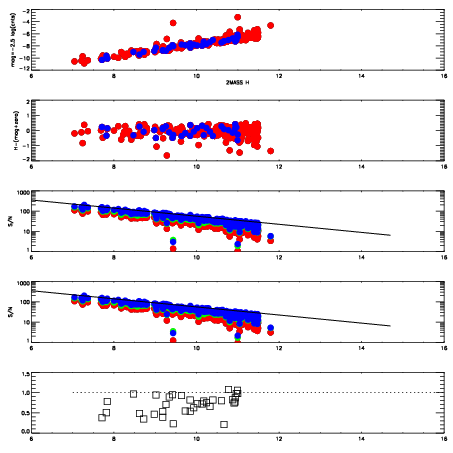
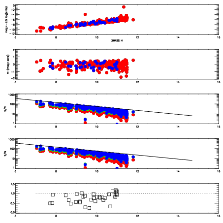
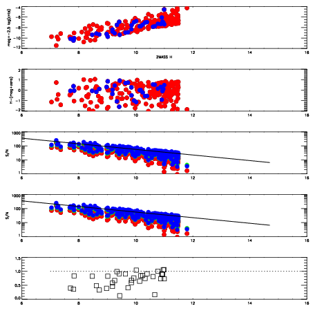
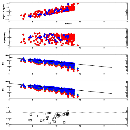
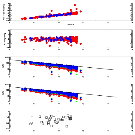
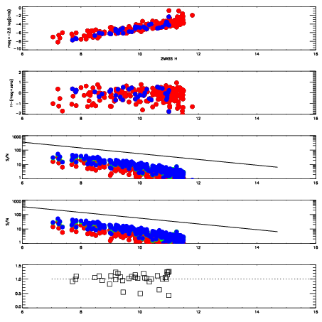
Frame | Nreads | Zeropoints | Mag plots
| Spatial mag deviation
| Spatial sky 16325A emission deviations (filled: sky, open: star)
| Spatial sky continuum emission
| Spatial sky telluric CO2 absorption deviations (filled: H < 10)
|
17120023
| 42
| | Red | Green | Blue
| z | | 17.88
| znorm | | 13.82
| sky | 14.6 | 14.4 | 14.4
| S/N | 12.2 | 19.5 | 20.5
| S/N(c) | 9.7 | 12.9 | 4.7
| SN(E/C) | 0.77
|
|
|
|
|
|
|
17120024
| 42
| | Red | Green | Blue
| z | | 18.20
| znorm | | 14.14
| sky | 14.8 | 14.6 | 14.6
| S/N | 14.4 | 23.0 | 24.1
| S/N(c) | 11.7 | 15.1 | 5.5
| SN(E/C) | 0.71
|
|
|
|
|
|
|
17120025
| 42
| | Red | Green | Blue
| z | | 17.91
| znorm | | 13.86
| sky | 14.5 | 14.6 | 14.8
| S/N | 1.4 | 3.6 | 2.9
| S/N(c) | 9.8 | 12.8 | 4.7
| SN(E/C) | 0.76
|
|
|
|
|
|
|
17120026
| 42
| | Red | Green | Blue
| z | | 17.99
| znorm | | 13.93
| sky | 14.6 | 14.7 | 14.7
| S/N | 1.6 | 3.7 | 3.2
| S/N(c) | 10.2 | 13.4 | 4.8
| SN(E/C) | 0.76
|
|
|
|
|
|
|
17120027
| 42
| | Red | Green | Blue
| z | | 17.57
| znorm | | 13.51
| sky | 14.7 | 14.6 | 14.5
| S/N | 2.4 | 5.0 | 4.4
| S/N(c) | 7.8 | 10.9 | 3.9
| SN(E/C) | 0.81
|
|
|
|
|
|
|
17120028
| 42
| | Red | Green | Blue
| z | | 17.78
| znorm | | 13.72
| sky | 14.7 | 14.5 | 14.6
| S/N | 2.8 | 4.7 | 4.9
| S/N(c) | 9.0 | 12.3 | 4.4
| SN(E/C) | 0.75
|
|
|
|
|
|
|
17120029
| 42
| | Red | Green | Blue
| z | | 17.32
| znorm | | 13.27
| sky | 14.5 | 14.6 | 14.7
| S/N | 6.9 | 12.9 | 13.2
| S/N(c) | 6.1 | 9.1 | 3.3
| SN(E/C) | 0.81
|
|
|
|
|
|
|
17120030
| 42
| | Red | Green | Blue
| z | | 17.16
| znorm | | 13.10
| sky | 14.6 | 14.8 | 14.8
| S/N | 6.1 | 11.7 | 11.4
| S/N(c) | 5.2 | 8.2 | 2.9
| SN(E/C) | 0.85
|
|
|
|
|
|
|
17120031
| 42
| | Red | Green | Blue
| z | | 16.67
| znorm | | 12.61
| sky | 14.7 | 14.9 | 15.0
| S/N | 0.1 | 1.1 | 1.1
| S/N(c) | 3.6 | 6.1 | 2.1
| SN(E/C) | 0.91
|
|
|
|
|
|
|
17120032
| 42
| | Red | Green | Blue
| z | | 15.06
| znorm | | 11.01
| sky | 14.7 | 14.9 | 15.0
| S/N | 0.1 | 0.5 | 0.7
| S/N(c) | 0.9 | 1.9 | 0.6
| SN(E/C) | 1.04
|
|
|
|
|
|
|
17120033
| 42
| | Red | Green | Blue
| z | | 12.89
| znorm | | 8.83
| sky | 14.9 | 15.1 | 15.2
| S/N | -0.5 | 0.2 | 0.1
| S/N(c) | 0.0 | 0.0 | 0.0
| SN(E/C) | 1.98
|
|
|
|
|
|
|
17120034
| 42
| | Red | Green | Blue
| z | | 17.43
| znorm | | 13.37
| sky | 14.8 | 14.9 | 14.9
| S/N | 2.3 | 5.1 | 5.0
| S/N(c) | 6.8 | 9.7 | 3.6
| SN(E/C) | 0.81
|
|
|
|
|
|
|