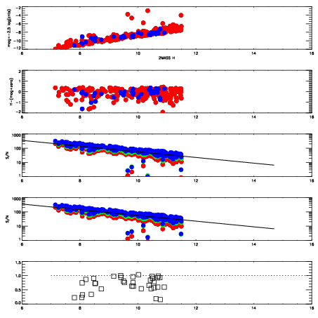
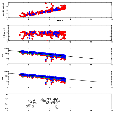
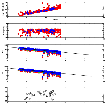
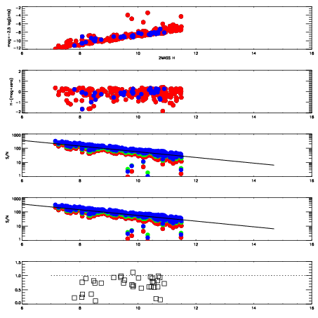
Left plots: red are targets, blue are telluric. Observed mags are calculated from median value of green chip. Zeropoint gives overall throughput: bigger number is more throughput.
First spatial plots: circles are objects, squares are tellurics, crosses are sky fibers. Colors give deviation of observed mag from expected 2MASS mag using the median zeropoint; red is brighter
Second spatial plots: circles are sky fibers. Colors give sky line brightness relative to plate median sky line brightness
FrameNreadsZeropointsMag plots Spatial mag deviation Spatial sky 16325A emission deviations (filled: sky, open: star) Spatial sky continuum emission Spatial sky telluric CO2 absorption deviations (filled: H < 10)
17170022 42
RedGreenBlue
z18.73
znorm14.67
sky 14.1 14.0 14.1
S/N 14.6 23.0 26.4
S/N(c) 27.8 23.6 24.8
SN(E/C) 0.74
17170023 42
RedGreenBlue
z18.73
znorm14.67
sky 14.3 14.2 14.2
S/N 14.5 23.5 26.1
S/N(c) 27.7 23.3 24.7
SN(E/C) 0.74
17170024 42
RedGreenBlue
z18.59
znorm14.53
sky 14.4 14.6 14.3
S/N 12.0 17.9 22.8
S/N(c) 25.7 21.7 22.5
SN(E/C) 0.70
17170025 42
RedGreenBlue
z18.59
znorm14.53
sky 14.3 14.3 14.4
S/N 12.1 18.1 23.0
S/N(c) 25.7 21.7 22.6
SN(E/C) 0.73