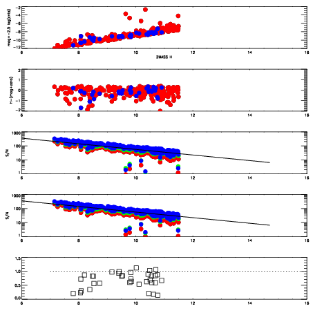
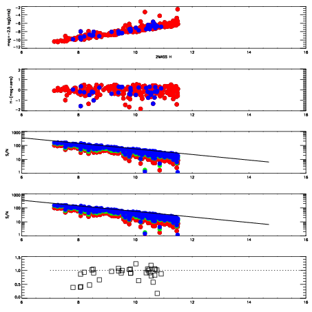
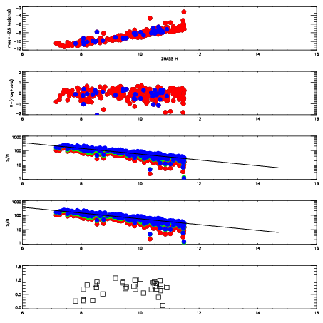
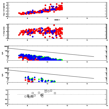
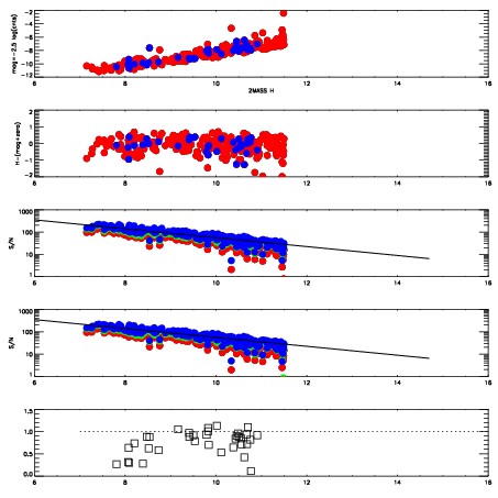
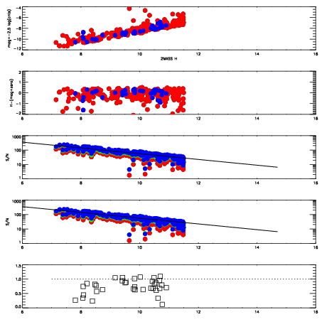
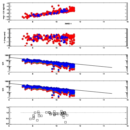
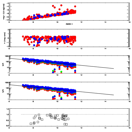
Frame | Nreads | Zeropoints | Mag plots
| Spatial mag deviation
| Spatial sky 16325A emission deviations (filled: sky, open: star)
| Spatial sky continuum emission
| Spatial sky telluric CO2 absorption deviations (filled: H < 10)
|
17190011
| 42
| | Red | Green | Blue
| z | | 17.21
| znorm | | 13.16
| sky | 14.3 | 14.2 | 14.2
| S/N | 4.7 | 8.6 | 9.5
| S/N(c) | 11.4 | 11.0 | 11.4
| SN(E/C) | 0.89
|
|
|
|
|
|
|
17190012
| 42
| | Red | Green | Blue
| z | | 17.59
| znorm | | 13.54
| sky | 14.3 | 14.3 | 14.2
| S/N | 5.6 | 10.4 | 11.8
| S/N(c) | 14.7 | 13.9 | 14.5
| SN(E/C) | 0.92
|
|
|
|
|
|
|
17190013
| 42
| | Red | Green | Blue
| z | | 18.33
| znorm | | 14.27
| sky | 14.0 | 14.1 | 14.3
| S/N | 9.7 | 16.3 | 18.7
| S/N(c) | 23.1 | 20.3 | 21.1
| SN(E/C) | 0.79
|
|
|
|
|
|
|
17190014
| 42
| | Red | Green | Blue
| z | | 13.52
| znorm | | 9.46
| sky | 14.7 | 15.0 | 15.0
| S/N | 0.0 | 0.3 | 0.2
| S/N(c) | 0.0 | 0.0 | 0.0
| SN(E/C) | 1.33
|
|
|
|
|
|
|
17190015
| 42
| | Red | Green | Blue
| z | | 17.35
| znorm | | 13.29
| sky | 14.3 | 14.2 | 14.3
| S/N | 5.4 | 10.8 | 11.2
| S/N(c) | 11.2 | 11.4 | 11.6
| SN(E/C) | 0.87
|
|
|
|
|
|
|
17190016
| 42
| | Red | Green | Blue
| z | | 17.92
| znorm | | 13.86
| sky | 14.4 | 14.4 | 14.4
| S/N | 8.2 | 15.3 | 16.8
| S/N(c) | 17.3 | 15.8 | 16.4
| SN(E/C) | 0.86
|
|
|
|
|
|
|
17190017
| 42
| | Red | Green | Blue
| z | | 14.66
| znorm | | 10.60
| sky | 14.7 | 15.0 | 14.7
| S/N | 0.3 | 1.2 | 1.0
| S/N(c) | 1.3 | 2.1 | 1.7
| SN(E/C) | 0.98
|
|
|
|
|
|
|
17190018
| 42
| | Red | Green | Blue
| z | | 17.59
| znorm | | 13.54
| sky | 14.6 | 14.5 | 14.5
| S/N | 6.8 | 11.9 | 13.5
| S/N(c) | 13.8 | 12.5 | 13.8
| SN(E/C) | 0.89
|
|
|
|
|
|
|
17190019
| 42
| | Red | Green | Blue
| z | | 18.40
| znorm | | 14.34
| sky | 14.5 | 14.2 | 14.3
| S/N | 9.4 | 15.0 | 18.0
| S/N(c) | 23.0 | 20.5 | 21.3
| SN(E/C) | 0.77
|
|
|
|
|
|
|
17190020
| 42
| | Red | Green | Blue
| z | | 18.36
| znorm | | 14.30
| sky | 14.3 | 14.2 | 14.3
| S/N | 9.2 | 15.2 | 17.2
| S/N(c) | 22.5 | 19.9 | 21.1
| SN(E/C) | 0.84
|
|
|
|
|
|
|
17190021
| 42
| | Red | Green | Blue
| z | | 18.82
| znorm | | 14.76
| sky | 14.0 | 14.1 | 14.1
| S/N | 14.9 | 24.4 | 27.0
| S/N(c) | 28.0 | 23.7 | 25.0
| SN(E/C) | 0.72
|
|
|
|
|
|
|
17190022
| 42
| | Red | Green | Blue
| z | | 18.77
| znorm | | 14.71
| sky | 14.2 | 14.3 | 14.0
| S/N | 14.4 | 23.8 | 26.1
| S/N(c) | 26.9 | 23.2 | 24.3
| SN(E/C) | 0.70
|
|
|
|
|
|
|
17190023
| 42
| | Red | Green | Blue
| z | | 18.69
| znorm | | 14.63
| sky | 14.5 | 14.4 | 14.2
| S/N | 12.6 | 19.0 | 24.0
| S/N(c) | 26.9 | 22.8 | 23.5
| SN(E/C) | 0.77
|
|
|
|
|
|
|
17190024
| 42
| | Red | Green | Blue
| z | | 18.43
| znorm | | 14.37
| sky | 14.4 | 14.4 | 14.3
| S/N | 10.5 | 16.4 | 20.1
| S/N(c) | 23.1 | 20.0 | 20.5
| SN(E/C) | 0.74
|
|
|
|
|
|
|