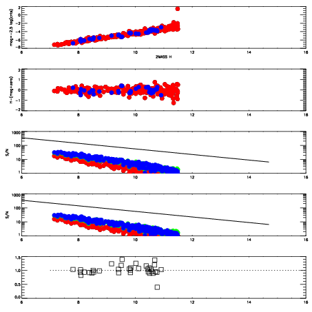
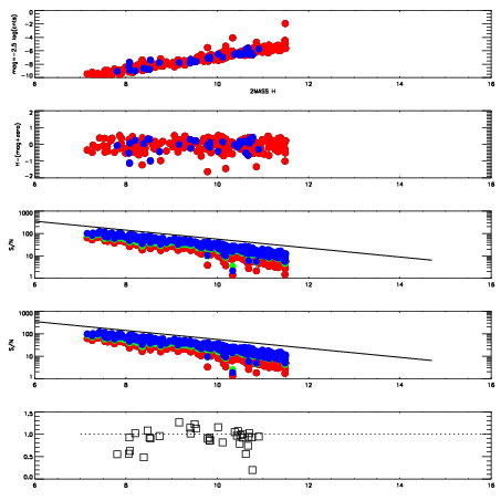
Left plots: red are targets, blue are telluric. Observed mags are calculated from median value of green chip. Zeropoint gives overall throughput: bigger number is more throughput.
First spatial plots: circles are objects, squares are tellurics, crosses are sky fibers. Colors give deviation of observed mag from expected 2MASS mag using the median zeropoint; red is brighter
Second spatial plots: circles are sky fibers. Colors give sky line brightness relative to plate median sky line brightness
FrameNreadsZeropointsMag plots Spatial mag deviation Spatial sky 16325A emission deviations (filled: sky, open: star) Spatial sky continuum emission Spatial sky telluric CO2 absorption deviations (filled: H < 10)
17210022 42
RedGreenBlue
z16.93
znorm12.88
sky 14.2 14.2 14.5
S/N 3.6 7.2 8.2
S/N(c) 9.0 9.4 10.0
SN(E/C) 0.93
17210023 42
RedGreenBlue
z14.38
znorm10.32
sky 14.5 14.6 14.7
S/N 0.3 1.0 1.0
S/N(c) 1.1 1.8 1.5
SN(E/C) 1.01