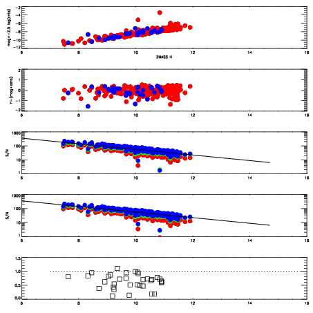
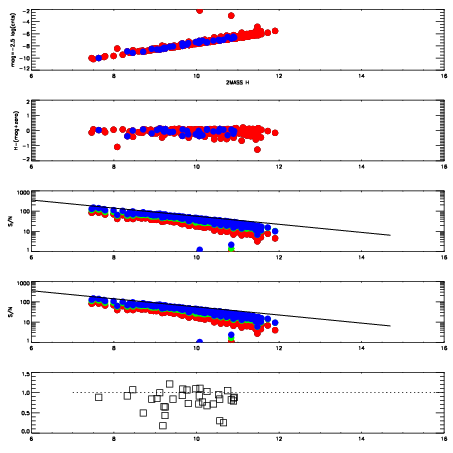
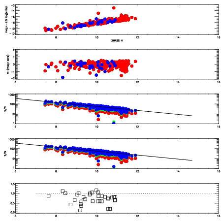
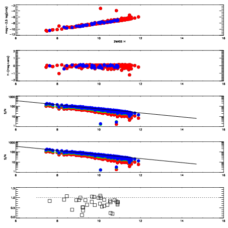
Frame | Nreads | Zeropoints | Mag plots
| Spatial mag deviation
| Spatial sky 16325A emission deviations (filled: sky, open: star)
| Spatial sky continuum emission
| Spatial sky telluric CO2 absorption deviations (filled: H < 10)
|
17120011
| 42
| | Red | Green | Blue
| z | | 18.06
| znorm | | 14.01
| sky | 14.3 | 14.3 | 14.2
| S/N | 9.8 | 17.6 | 18.4
| S/N(c) | 6.7 | 12.2 | 19.3
| SN(E/C) | 0.79
|
|
|
|
|
|
|
17120012
| 42
| | Red | Green | Blue
| z | | 17.60
| znorm | | 13.54
| sky | 14.4 | 14.6 | 14.5
| S/N | 6.7 | 12.8 | 13.5
| S/N(c) | 4.7 | 9.3 | 14.7
| SN(E/C) | 0.85
|
|
|
|
|
|
|
17120013
| 42
| | Red | Green | Blue
| z | | 18.52
| znorm | | 14.46
| sky | 14.5 | 14.4 | 14.4
| S/N | 12.4 | 21.8 | 23.7
| S/N(c) | 8.6 | 15.2 | 24.0
| SN(E/C) | 0.70
|
|
|
|
|
|
|
17120014
| 42
| | Red | Green | Blue
| z | | 18.21
| znorm | | 14.15
| sky | 14.5 | 14.6 | 14.5
| S/N | 10.2 | 18.5 | 19.8
| S/N(c) | 6.8 | 12.8 | 20.2
| SN(E/C) | 0.78
|
|
|
|
|
|
|
17120015
| 42
| | Red | Green | Blue
| z | | 17.27
| znorm | | 13.21
| sky | 14.7 | 14.7 | 14.6
| S/N | 3.1 | 6.9 | 7.2
| S/N(c) | 3.4 | 7.5 | 11.8
| SN(E/C) | 0.90
|
|
|
|
|
|
|
17120016
| 42
| | Red | Green | Blue
| z | | 16.71
| znorm | | 12.65
| sky | 14.5 | 14.6 | 14.6
| S/N | 1.8 | 5.2 | 5.3
| S/N(c) | 2.3 | 5.4 | 8.3
| SN(E/C) | 0.92
|
|
|
|
|
|
|
17120017
| 42
| | Red | Green | Blue
| z | | 17.86
| znorm | | 13.80
| sky | 14.8 | 14.8 | 14.6
| S/N | 14.6 | 24.5 | 26.3
| S/N(c) | 5.5 | 10.6 | 16.6
| SN(E/C) | 0.78
|
|
|
|
|
|
|
17120018
| 42
| | Red | Green | Blue
| z | | 17.80
| znorm | | 13.74
| sky | 14.5 | 14.7 | 14.6
| S/N | 14.3 | 24.2 | 26.0
| S/N(c) | 5.4 | 10.3 | 16.2
| SN(E/C) | 0.84
|
|
|
|
|
|
|