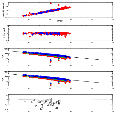
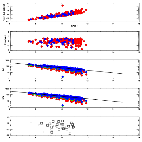
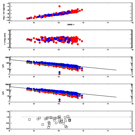
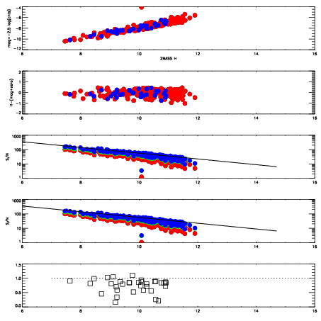
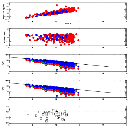
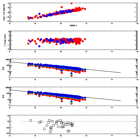
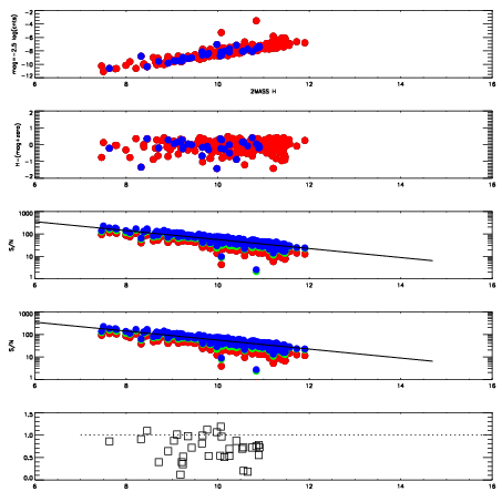
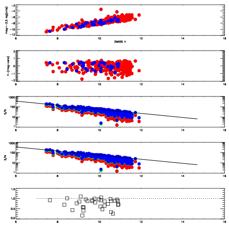
Frame | Nreads | Zeropoints | Mag plots
| Spatial mag deviation
| Spatial sky 16325A emission deviations (filled: sky, open: star)
| Spatial sky continuum emission
| Spatial sky telluric CO2 absorption deviations (filled: H < 10)
|
17150011
| 42
| | Red | Green | Blue
| z | | 18.60
| znorm | | 14.54
| sky | 14.2 | 14.2 | 14.1
| S/N | 14.3 | 23.8 | 25.3
| S/N(c) | 9.3 | 16.2 | 25.7
| SN(E/C) | 0.68
|
|
|
|
|
|
|
17150012
| 42
| | Red | Green | Blue
| z | | 18.54
| znorm | | 14.48
| sky | 14.5 | 14.5 | 14.2
| S/N | 13.6 | 22.7 | 24.2
| S/N(c) | 8.9 | 15.6 | 24.9
| SN(E/C) | 0.68
|
|
|
|
|
|
|
17150013
| 42
| | Red | Green | Blue
| z | | 18.22
| znorm | | 14.16
| sky | 14.3 | 14.4 | 14.3
| S/N | 9.7 | 17.8 | 18.7
| S/N(c) | 7.2 | 13.0 | 20.5
| SN(E/C) | 0.80
|
|
|
|
|
|
|
17150014
| 42
| | Red | Green | Blue
| z | | 18.25
| znorm | | 14.19
| sky | 14.6 | 14.6 | 14.4
| S/N | 9.8 | 17.2 | 18.4
| S/N(c) | 7.2 | 13.0 | 20.8
| SN(E/C) | 0.76
|
|
|
|
|
|
|
17150015
| 42
| | Red | Green | Blue
| z | | 17.98
| znorm | | 13.92
| sky | 14.8 | 14.7 | 14.5
| S/N | 7.9 | 15.0 | 15.2
| S/N(c) | 6.2 | 11.5 | 18.1
| SN(E/C) | 0.83
|
|
|
|
|
|
|
17150016
| 42
| | Red | Green | Blue
| z | | 18.28
| znorm | | 14.22
| sky | 14.5 | 14.6 | 14.5
| S/N | 10.2 | 17.7 | 18.4
| S/N(c) | 7.5 | 13.7 | 21.8
| SN(E/C) | 0.76
|
|
|
|
|
|
|
17150017
| 42
| | Red | Green | Blue
| z | | 17.85
| znorm | | 13.79
| sky | 14.7 | 14.7 | 14.5
| S/N | 12.7 | 22.1 | 23.6
| S/N(c) | 5.4 | 10.5 | 16.7
| SN(E/C) | 0.86
|
|
|
|
|
|
|
17150018
| 42
| | Red | Green | Blue
| z | | 17.75
| znorm | | 13.69
| sky | 15.2 | 14.8 | 14.5
| S/N | 12.5 | 21.3 | 22.7
| S/N(c) | 5.2 | 10.0 | 15.9
| SN(E/C) | 0.81
|
|
|
|
|
|
|
17150019
| 42
| | Red | Green | Blue
| z | | 18.44
| znorm | | 14.38
| sky | 14.4 | 14.4 | 14.4
| S/N | 12.0 | 20.4 | 21.4
| S/N(c) | 7.9 | 14.4 | 22.6
| SN(E/C) | 0.73
|
|
|
|
|
|
|
17150020
| 42
| | Red | Green | Blue
| z | | 18.46
| znorm | | 14.40
| sky | 14.8 | 14.7 | 14.4
| S/N | 12.3 | 20.5 | 21.6
| S/N(c) | 7.9 | 14.3 | 22.7
| SN(E/C) | 0.72
|
|
|
|
|
|
|
17150021
| 42
| | Red | Green | Blue
| z | | 18.43
| znorm | | 14.38
| sky | 14.7 | 14.7 | 14.5
| S/N | 12.0 | 20.3 | 21.5
| S/N(c) | 8.2 | 14.7 | 23.6
| SN(E/C) | 0.75
|
|
|
|
|
|
|
17150022
| 42
| | Red | Green | Blue
| z | | 18.39
| znorm | | 14.33
| sky | 15.1 | 14.9 | 14.6
| S/N | 11.1 | 19.8 | 20.6
| S/N(c) | 8.1 | 14.5 | 23.2
| SN(E/C) | 0.71
|
|
|
|
|
|
|