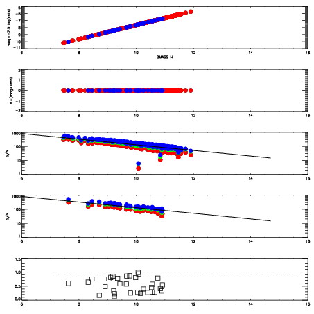
Left plots: red are targets, blue are telluric. Observed mags are calculated from median value of green chip. Zeropoint gives overall throughput: bigger number is more throughput.
First spatial plots: circles are objects, squares are tellurics, crosses are sky fibers. Colors give deviation of observed mag from expected 2MASS mag using the median zeropoint; red is brighter
Second spatial plots: circles are sky fibers. Colors give sky line brightness relative to plate median sky line brightness
FrameNreadsZeropointsMag plots Spatial mag deviation Spatial sky 16325A emission deviations (filled: sky, open: star) Spatial sky continuum emission Spatial sky telluric CO2 absorption deviations (filled: H < 10)
0 0
RedGreenBlue
z17.64
znorm Inf
sky -Inf -Inf -Inf
S/N 32.1 53.7 57.8
S/N(c) 0.0 0.0 0.0
SN(E/C) 0.54

IPAIRNAMESHIFTNEWSHIFTS/N NAMESHIFTNEWSHIFTS/N
0 17160017 0.486612 0.00000 17.9398 17160018 0.000493203 0.486119 17.8360
1 17160012 0.481231 0.00538099 19.1287 17160014 -0.00140387 0.488016 19.1337
2 17160013 0.482133 0.00447899 19.1000 17160011 0.00000 0.486612 19.1212
3 17160020 0.484100 0.00251198 18.6481 17160019 -0.000877387 0.487489 18.6519
4 17160016 0.485931 0.000680983 18.5268 17160015 -0.000362023 0.486974 18.4991