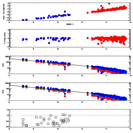
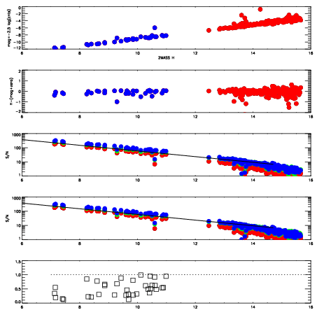
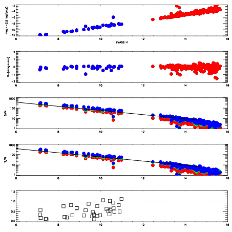
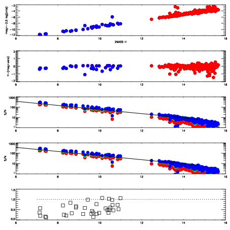
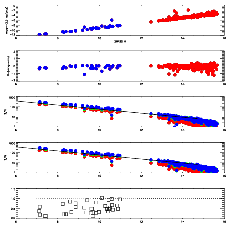
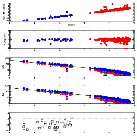
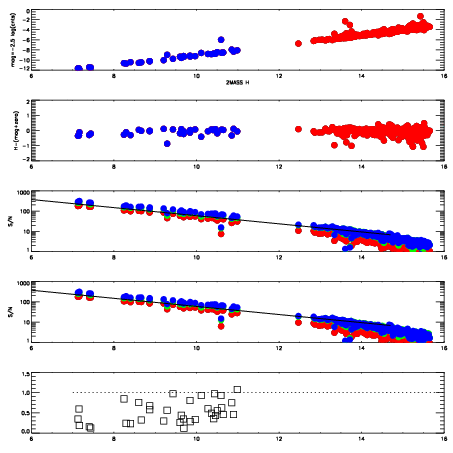
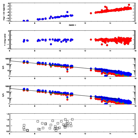
Frame | Nreads | Zeropoints | Mag plots
| Spatial mag deviation
| Spatial sky 16325A emission deviations (filled: sky, open: star)
| Spatial sky continuum emission
| Spatial sky telluric CO2 absorption deviations (filled: H < 10)
|
16110011
| 47
| | Red | Green | Blue
| z | | 19.15
| znorm | | 14.97
| sky | 14.4 | 14.4 | 14.4
| S/N | 18.1 | 26.3 | 31.7
| S/N(c) | 30.8 | 36.8 | 8.8
| SN(E/C) | 0.47
|
|
|
|
|
|
|
16110012
| 47
| | Red | Green | Blue
| z | | 19.12
| znorm | | 14.94
| sky | 14.8 | 14.6 | 14.6
| S/N | 17.6 | 25.8 | 31.2
| S/N(c) | 30.9 | 36.6 | 8.8
| SN(E/C) | 0.46
|
|
|
|
|
|
|
16110013
| 47
| | Red | Green | Blue
| z | | 19.15
| znorm | | 14.97
| sky | 14.8 | 14.7 | 14.7
| S/N | 18.5 | 27.2 | 32.8
| S/N(c) | 30.4 | 37.5 | 8.7
| SN(E/C) | 0.49
|
|
|
|
|
|
|
16110014
| 47
| | Red | Green | Blue
| z | | 19.13
| znorm | | 14.95
| sky | 14.7 | 14.7 | 14.7
| S/N | 18.8 | 27.3 | 32.9
| S/N(c) | 29.7 | 36.4 | 8.6
| SN(E/C) | 0.50
|
|
|
|
|
|
|
16110015
| 47
| | Red | Green | Blue
| z | | 19.12
| znorm | | 14.94
| sky | 14.8 | 14.7 | 14.7
| S/N | 18.8 | 27.4 | 33.0
| S/N(c) | 29.5 | 36.5 | 8.5
| SN(E/C) | 0.51
|
|
|
|
|
|
|
16110016
| 47
| | Red | Green | Blue
| z | | 19.14
| znorm | | 14.96
| sky | 14.8 | 14.7 | 14.8
| S/N | 18.6 | 27.2 | 32.5
| S/N(c) | 29.5 | 35.3 | 8.5
| SN(E/C) | 0.49
|
|
|
|
|
|
|
16110017
| 47
| | Red | Green | Blue
| z | | 19.11
| znorm | | 14.93
| sky | 14.8 | 14.7 | 14.6
| S/N | 18.5 | 27.0 | 32.2
| S/N(c) | 29.4 | 35.0 | 8.5
| SN(E/C) | 0.49
|
|
|
|
|
|
|
16110018
| 47
| | Red | Green | Blue
| z | | 19.10
| znorm | | 14.92
| sky | 14.6 | 14.7 | 14.7
| S/N | 18.3 | 27.0 | 32.1
| S/N(c) | 28.2 | 34.5 | 8.2
| SN(E/C) | 0.50
|
|
|
|
|
|
|