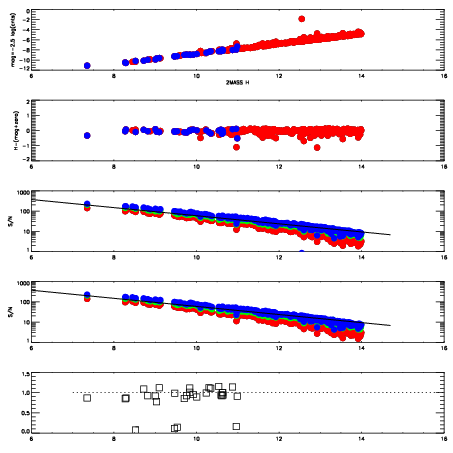
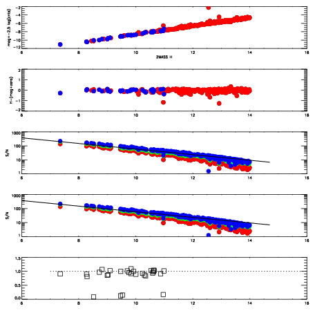
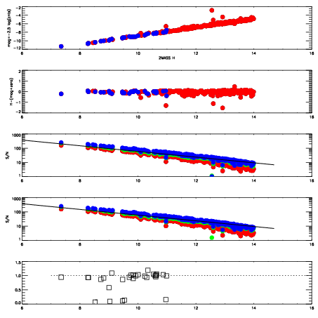
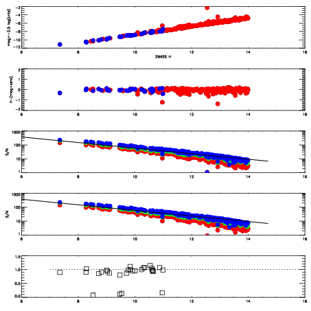
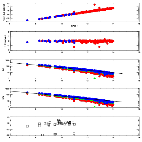
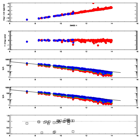
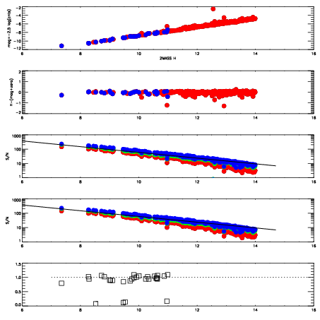
Frame | Nreads | Zeropoints | Mag plots
| Spatial mag deviation
| Spatial sky 16325A emission deviations (filled: sky, open: star)
| Spatial sky continuum emission
| Spatial sky telluric CO2 absorption deviations (filled: H < 10)
|
20000011
| 47
| | Red | Green | Blue
| z | | 18.88
| znorm | | 14.70
| sky | 14.3 | 14.4 | 14.5
| S/N | 13.7 | 22.8 | 27.1
| S/N(c) | 9.0 | 33.7 | 30.3
| SN(E/C) | 0.96
|
|
|
|
|
|
|
20000012
| 47
| | Red | Green | Blue
| z | | 18.76
| znorm | | 14.58
| sky | 14.6 | 14.8 | 14.7
| S/N | 12.7 | 21.1 | 24.8
| S/N(c) | 8.1 | 31.8 | 27.8
| SN(E/C) | 0.96
|
|
|
|
|
|
|
20000013
| 47
| | Red | Green | Blue
| z | | 18.73
| znorm | | 14.55
| sky | 14.4 | 14.8 | 14.8
| S/N | 12.2 | 20.6 | 24.3
| S/N(c) | 8.0 | 31.2 | 27.1
| SN(E/C) | 0.98
|
|
|
|
|
|
|
20000014
| 47
| | Red | Green | Blue
| z | | 18.66
| znorm | | 14.48
| sky | 14.5 | 14.8 | 15.1
| S/N | 11.7 | 20.5 | 23.3
| S/N(c) | 7.6 | 30.5 | 26.2
| SN(E/C) | 0.94
|
|
|
|
|
|
|
20000015
| 47
| | Red | Green | Blue
| z | | 18.78
| znorm | | 14.60
| sky | 14.6 | 14.7 | 14.9
| S/N | 12.7 | 21.9 | 24.8
| S/N(c) | 8.2 | 32.4 | 27.9
| SN(E/C) | 0.95
|
|
|
|
|
|
|
20000016
| 47
| | Red | Green | Blue
| z | | 18.79
| znorm | | 14.61
| sky | 14.9 | 15.0 | 14.9
| S/N | 13.0 | 22.3 | 25.3
| S/N(c) | 8.2 | 32.8 | 28.2
| SN(E/C) | 0.94
|
|
|
|
|
|
|
20000017
| 47
| | Red | Green | Blue
| z | | 18.78
| znorm | | 14.60
| sky | 14.8 | 15.0 | 14.8
| S/N | 12.7 | 21.9 | 25.3
| S/N(c) | 8.1 | 32.5 | 28.2
| SN(E/C) | 0.91
|
|
|
|
|
|
|
20000018
| 47
| | Red | Green | Blue
| z | | 18.56
| znorm | | 14.38
| sky | 14.7 | 14.8 | 15.1
| S/N | 11.5 | 19.4 | 22.4
| S/N(c) | 7.2 | 29.0 | 25.3
| SN(E/C) | 0.97
|
|
|
|
|
|
|